天堂之歌

听歌而来,送我踏青云〜

CFA二级

CFA二级

包含CFA二级传统在线课程、通关课程及试题相关提问答疑;

专场人数:2458提问数量:55611

第二问,为什么要用YTM再减去算出来的(1.76715%)呢?1.76715%不就是return吗?

查看试题 已回答

这三个数据矛盾了吧?

已回答

consensus-forecasts是啥

已回答

这题如果自己求t.c,怎么跟题目给出的2.728不一样啊

已回答

为什么一定要sell一个Bond呢?(一小时32分处40秒左右)如果违约,与自己是否shortbond无关。不违约的情况下,如果自己没有sellbond,岂不是直接赚保费来的更多?

已回答

老师,请问下买卖债券,老师说如果是sellCDS,还要卖掉债券。这里是默认投资者手上已经有债券了么。。这不合理呀。比如刚进市场的投资者,手上没有债券,怎么办呢?

已回答

第七题、为什么此处不能按照讲义上RI2016=RI2015*w这个公式算呢

查看试题 已回答

这和表1有什么关系?看表2的b1符号不久可以了吗?

已回答

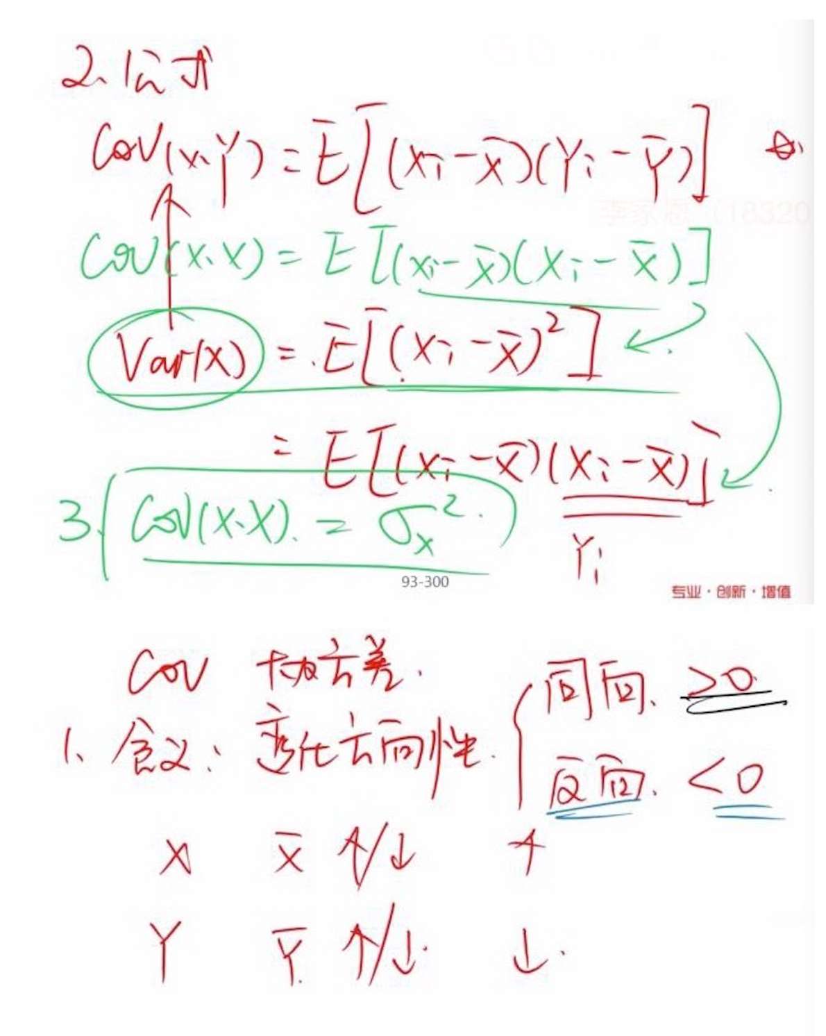
Cov(X,Y)=E[(Xi-X拔)(Yi-Y拔)]?为什么还有个∑和df?

已回答

老师好,ppt132的例题中如果是call is undervalued,call被低估的话,应该要买入call,那是不是相应的要short stock+lend money?

已回答

精品推荐

400-700-9596
(每日9:00-21:00免长途费 )

©2026金程网校保留所有权利

X

注册金程网校

验证码

同意金程的《用户协议》
直接登录:

已有账号登录