天堂之歌

听歌而来,送我踏青云〜

CFA二级

CFA二级

包含CFA二级传统在线课程、通关课程及试题相关提问答疑;

专场人数:2460提问数量:55630

L-OIS spead补偿什么风险,期限,违约?

已解决

C为什么是net interest expense而不是net interest income呢

已回答

老师,如果股份数变化不影响总值,没有行权是百分之23,行权了是百分之20。但是VC手里的都是3M股,股价每股也是1.33,对于VC来讲,手里的总价值没变。但是对于整个公司来讲,岂不是相当于从13乘1.33变成了15乘1.33,因为option行权了,整个公司的价值还涨了?

已回答

这里怎么判断出的”资产没变“这个点呢?

已回答

继承债券,为什么期限越短,价值越大呢

已回答

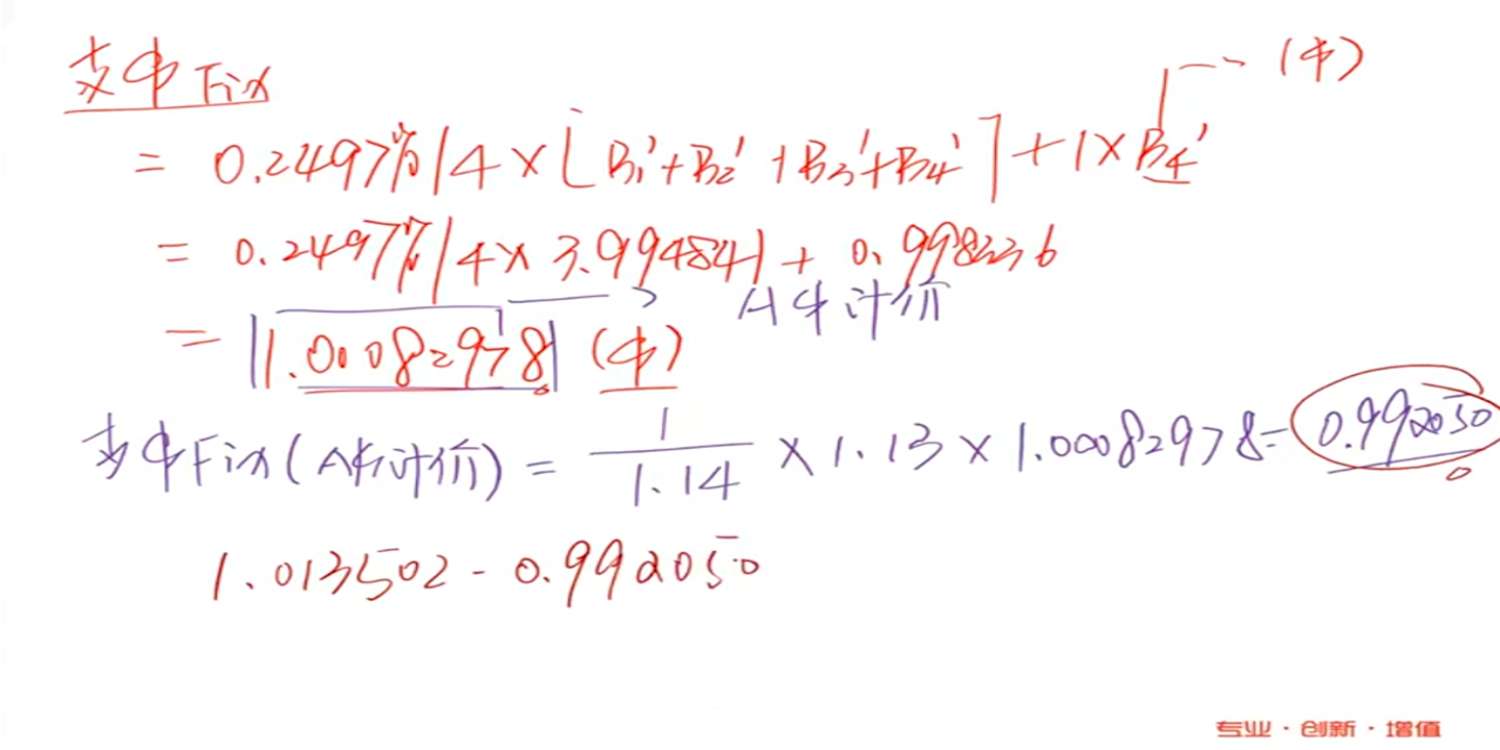
2:56:42这里如何判断是谁减谁

已回答

这一页 是不是 一级说过 ?不过当时 说的 似乎 是 资产 的 减值

已回答

老师说owershipstructure变化不会影响价值,那是不是说,假设option行权了,那么为了保持VC手里股票的价值,公司会额外的 增发0.5M的股票,从而虽然股价变低了,但是股数多了 ,从而让价值不变?

已回答

请问老师,在这个Gordon growth model的推导中,①②式子中方框部分应该为什么可以完全消除?项数数量不是不相等吗 ,②式中多出一个N+1项,

已回答

找spread不是为了求yi吗,为啥又根据yi求spread?

已解决

精品推荐

400-700-9596
(每日9:00-21:00免长途费 )

©2026金程网校保留所有权利

X

注册金程网校

验证码

同意金程的《用户协议》
直接登录:

已有账号登录