天堂之歌

听歌而来,送我踏青云〜

CFA一级

CFA一级

包含CFA一级传统在线课程、通关课程及试题相关提问答疑;

专场人数:6086提问数量:109963

关于折价债券,不是说到期后会产生税收负债吗,那税收负债不就是资本损失吗

查看试题 已回答

请问老师,这里为什么没有计算借入股票的成本?就是卖空融券的成本。

已回答

下跌4元不是用-4表示吗

已回答

disposal金额具体指什么?是指的残值吗?此时是无法知道变卖的时候收到多少钱的

查看试题 已回答

这道题用计算器怎么按?

查看试题 已回答

老师,请问这里给出的无风险收益率,在运算的过程中并未用到,那题目给出这个数值的用意是什么呢?谢谢!

查看试题 已回答

为什么不用40000乘以7

查看试题 已回答

请问financial capital应该算哪个分类里呀,TFP还是capital?

已回答

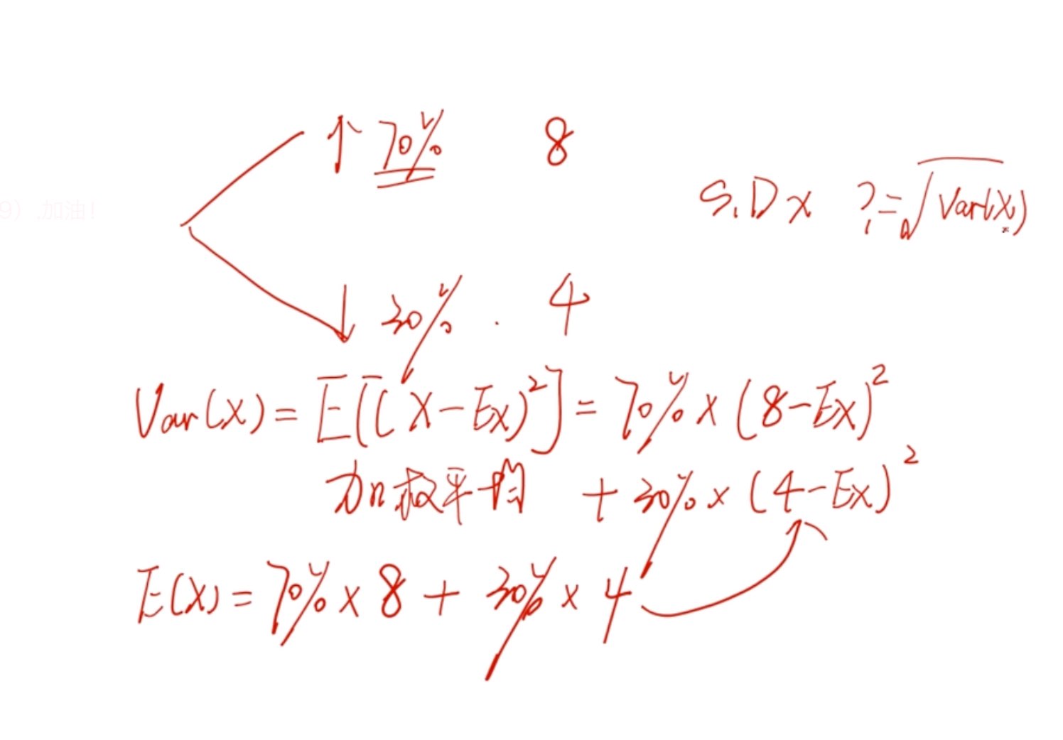
根号不是默认开2次根么,开1次根是什么东西?怎么算?

已回答

为什么EF和optimal CAL的切点,100%由risky asset组成,0%由Rf无风险资产组成?如何判断optimal CAL上不同的点无风险资产和风险资产的构成?

已回答

精品推荐

400-700-9596
(每日9:00-21:00免长途费 )

©2026金程网校保留所有权利

X

注册金程网校

验证码

同意金程的《用户协议》
直接登录:

已有账号登录