天堂之歌

听歌而来,送我踏青云〜

FRM问答

FRM问答

FRM问答包含在线课程、FMR通关课程、FRM试题等所有FRM相关问题,每个问题老师均会在24小时内给出答疑回复哦!

专场人数:0提问数量:0

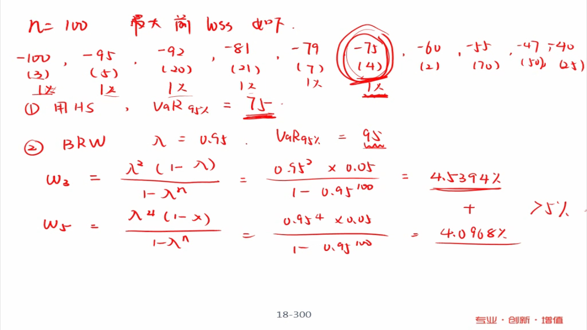
Lambda 題目會給出嗎?

已解决

一级讲的long-run mean是b0/(1-b1)也就是0.215/(1-0.75),这个和题干里的长期均值有什么区别呢?

查看试题 已解决

老师,请问为什么老师说这个推倒过程必须要会推倒呢?考试会考推倒过程吗?可以直接记结论吗?

已回答

解析最后一句话应该怎么理解

查看试题 已解决

理论上违约概率高的var也应该高才对吧?

查看试题 已解决

什么是tail var,跟var有啥不同

查看试题 已解决

没懂。求视频详解

查看试题 已解决

这里的pt-1是什么意思,没理解,两个公式有何不同

查看试题 已解决

为什么这里没有用到权重

查看试题 已回答

怎么判断economic news是长期存在的还是短期的

已回答

精品推荐

400-700-9596
(每日9:00-21:00免长途费 )

©2025金程网校保留所有权利

X

注册金程网校

验证码

同意金程的《用户协议》
直接登录:

已有账号登录