天堂之歌

听歌而来,送我踏青云〜

FRM一级

FRM一级

包含FRM一级传统在线课程、通关课程及试题相关提问答疑;

专场人数:3420提问数量:63654

可以麻烦讲解一下这道题嘛?

已回答

这个题目如何理解?

已回答

麻烦解释一下第20题

已回答

前一天波动率为什么用t而不是t_1,才是前一天啊

已回答

请问UL=EL-VaR吗

已回答

麻烦老师在讲一下69题谢谢

已回答

讲义102页example 3 105-09报价用32进制表示后 为什么要带个%。谢谢

已回答

老师,按今年新规定这个usd/eur应该是对的吧

已回答

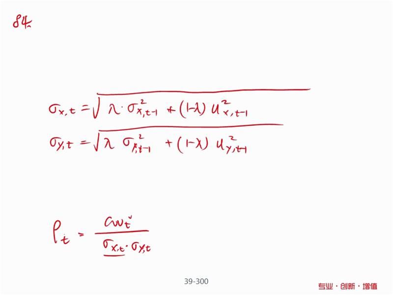
麻烦这个题目为啥算x的方差是用最新的,y的方差是前一天的呀

已回答

老师可以说下MBS会有哪几种和计算有关的考法吗?

已回答

精品推荐

400-700-9596
(每日9:00-21:00免长途费 )

©2026金程网校保留所有权利

X

注册金程网校

验证码

同意金程的《用户协议》
直接登录:

已有账号登录