
-
CFA二级
包含CFA二级传统在线课程、通关课程及试题相关提问答疑;
专场人数:2461提问数量:55640
为什么quarterly return是continuous? 它每隔一个季度才统计一次啊,像股票价格这种每分每秒都在变动的才算continuous吧。另外考试中有哪些常考的类似这样区分continuous与否的案例,请老师帮忙总结一下,谢谢!
查看试题 已回答精品问答
- Growth due to capital deepening 是αΔK/K还是ΔK/K
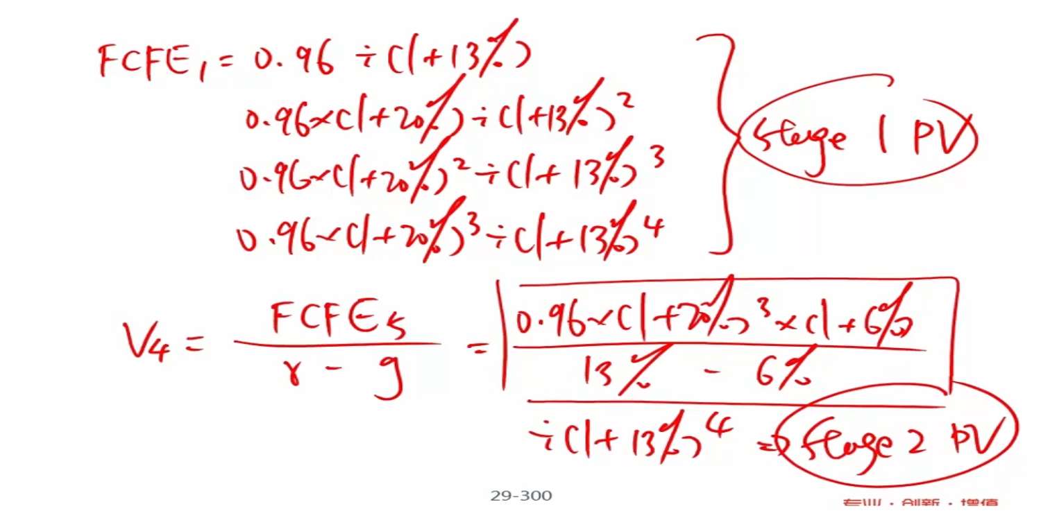
- 请老师讲解一下这个题目
- 老师,第三题答案的意思是:1.因为宽松的货币政策,导致加元利率下跌,导致加元贬值?2.但是,如果利率下跌,也就是分母上的百分比下降,不是会导致价格上升吗?。3.从而短期看是depreciation,但是长期来看,会回归到均值,所以是appreciation?
- 很迷惑到底是long call+ short stock还是long stock+short call构建无风险资产
- 这道题可不可以用算出来的fpa除以0.9算出的价格和125比较,得出的差额是套利的利润?
- 不太明白为什么AI0 20 加上后 后面AIT 是减50, 为什么要重复计算0~T=2 这段的coupon?
- 第4题 讲义没有讲到,能在详细讲一下吗
- 衍生Q18,请老师忽略题目编号,讲解一下这题,谢谢








