
-
CFA二级
包含CFA二级传统在线课程、通关课程及试题相关提问答疑;
专场人数:2461提问数量:55640
第一题,This is when regulation arises to enhance the interests of the regulated.” 说的不对吧,只是部分头部企业获益吧(他们聘请的专家),其他regulated不是收益对象吧,表述不严谨吧
查看试题 已解决X is uncorrelated with Y, 这个意思是cov(X,Y) = 0, 也就是说 correlation = 0。correlation = 0指的就是no linear relationship吗?
精品问答
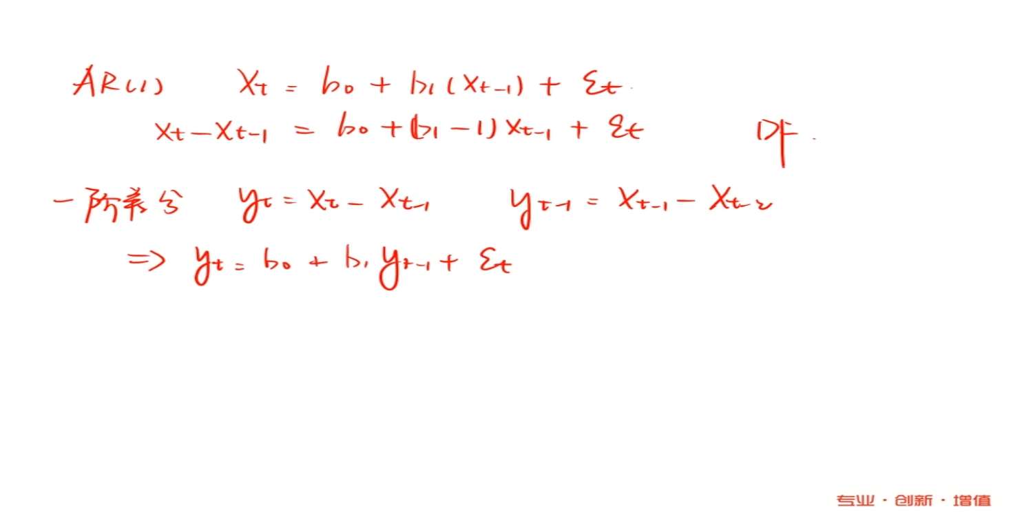
- Growth due to capital deepening 是αΔK/K还是ΔK/K
- 这题为什么是选C?
- 请老师讲解一下这个题目
- 老师,第二题可以在解释一下原理吗?
- 老师,第三题答案的意思是:1.因为宽松的货币政策,导致加元利率下跌,导致加元贬值?2.但是,如果利率下跌,也就是分母上的百分比下降,不是会导致价格上升吗?。3.从而短期看是depreciation,但是长期来看,会回归到均值,所以是appreciation?
- CDS的long和short是不是反过来的?就是long CDS代表看涨目标公司credit,所以是卖出一份CDS合约?
- 很迷惑到底是long call+ short stock还是long stock+short call构建无风险资产
- 为啥accrued interest over contract life是0?






