
-
CFA二级
包含CFA二级传统在线课程、通关课程及试题相关提问答疑;
专场人数:2459提问数量:55633
所以如果第二项,股权不到20%,不发股利只影响asset,不影响NI和Rev。第一项和第二项NI都增加子公司收购比例的NI,Rev并表加,不并表不加。第一项NI是并表后默认算的归母净利润,所以减掉归少数股东的NI,所以只增加收购比例的NI。是否正确
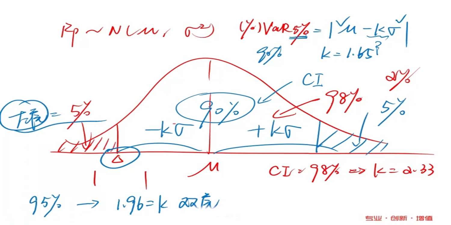
这里滞后项相关系数,是够造一个残差的方程,方程里面自变量是et-1,因变量是et,回归后,et-1的系数是两个的相关系数?也就是这里autocorrelation这个值?因为是前一项和后一项,所以是自相关,其实就是两个变量相关系数?t-test的值,第一行和第二行都是拒绝原假设,也就是相关系统不为0概率超过95%,可能自相关?这解释对不对啊?
精品问答
- Growth due to capital deepening 是αΔK/K还是ΔK/K
- 这题为什么是选C?
- 请老师讲解一下这个题目
- 老师,第二题可以在解释一下原理吗?
- 老师,第三题答案的意思是:1.因为宽松的货币政策,导致加元利率下跌,导致加元贬值?2.但是,如果利率下跌,也就是分母上的百分比下降,不是会导致价格上升吗?。3.从而短期看是depreciation,但是长期来看,会回归到均值,所以是appreciation?
- CDS的long和short是不是反过来的?就是long CDS代表看涨目标公司credit,所以是卖出一份CDS合约?
- 很迷惑到底是long call+ short stock还是long stock+short call构建无风险资产
- 为啥accrued interest over contract life是0?











