天堂之歌

听歌而来,送我踏青云〜

CFA二级

CFA二级

包含CFA二级传统在线课程、通关课程及试题相关提问答疑;

专场人数:2443提问数量:55531

第一年的利率是如何算出来的

已回答

图中画圈这句话 不太理解 时间序列 线性回归 是怎么样一个关系?

已回答

为什么这里以Ycap为中心点了呢?

已回答

拒绝原假设的话不就说明b1≠0,不就是可以解释了吗?为什么C选项还说不能解释?

已回答

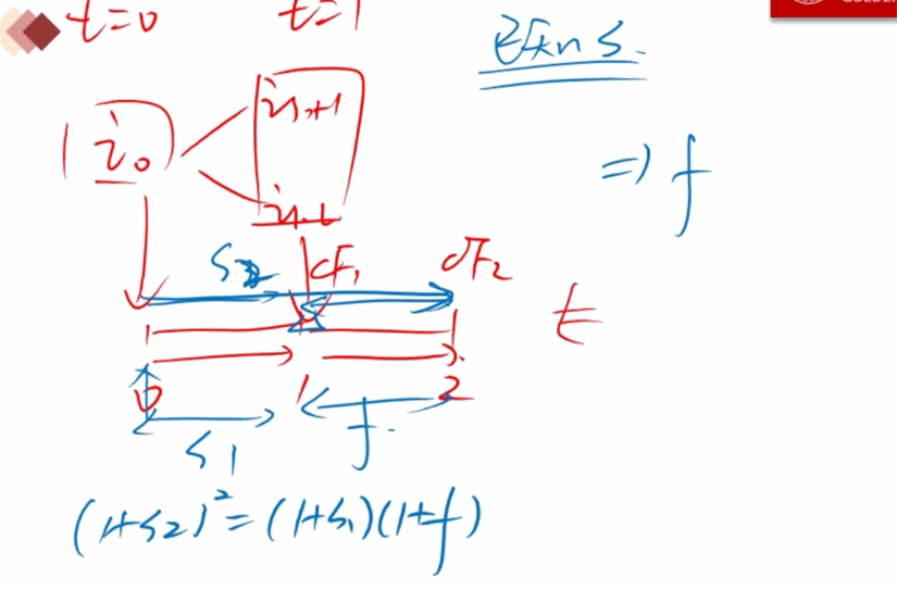
这里的i0、i1,H与s1、s2什么关系啊?

已回答

要收入0.135,花费0.13是可以套利的,所以应该卖出M,买入构建的组合呀?为什么老师说的是反的

已回答

图一,这一张内容该如何理解?我理解的是时间序列分析是Misspecification 形式之一,不就是一种自相关的表现么?但是图二 画圈那句话说时间序列数据如果去展现了自相关特征,意味着该model不适合时间序列~那按我的理解两句话就是矛盾的,麻烦您给我讲一下~

已回答

分母上的这个Cov(X,Y)和sample covariance有什么区别呢?我混一起了所以选了A

已回答

你好 老师 百题里面有一道关于big data的,我不太理解解释,请详细阐述下. p值的作用是?如何做到判断?关键是应该拿哪一个p值和另一个p值比对,threshhold p值的意义是? 谢谢

已回答

1. significant test 和 t-test 什么关系? 2. 最小二乘法就是残差平方和最小?您帮我讲下这个点 什么叫最小二乘法?

已回答

精品推荐

400-700-9596
(每日9:00-21:00免长途费 )

©2025金程网校保留所有权利

X

注册金程网校

验证码

同意金程的《用户协议》
直接登录:

已有账号登录