天堂之歌

听歌而来,送我踏青云〜

CFA二级

CFA二级

包含CFA二级传统在线课程、通关课程及试题相关提问答疑;

专场人数:2443提问数量:55533

老师,case4里面,个人非暴力游行被捕是因为非法侵入,非法侵入不算是违法吗,不会影响个人的道德判断吗,为啥不算违反了I(D)

已回答

老师请问为什么不显著的自变量也要算进去呢?是因为based on Exhibit 1吗?

查看试题 已回答

MavsHD这道题第5问,为什么是用当年的收入-资金需求*60%,不是应该用上一年的收入-资金需求*60%吗?不然怎么叫做留存收益

已回答

这里为什么是从小到大数到第五个呢?为啥是第五?因为var=5%?那要是var=1%,就是数到第一个?

已回答

这里的面积是怎么知道68%啊?为啥68%?

已回答

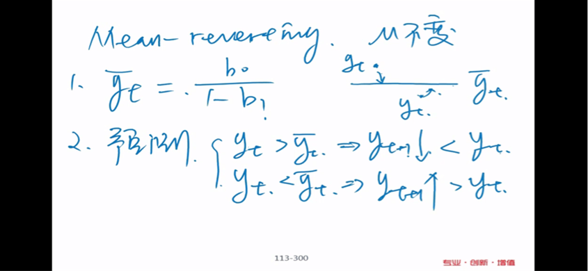
老师请问这里是否其实Yt< 均值,Y(t+1) 未必小于Yt,只是我们仍预测更大概率会是这样?

已回答

请问这个表格repurchase中,ownership value为何是increase,同时为何share owned by individual是depends?

已回答

我记得我遇到过题。第一个情况是,他参加了一个政治游行抗议什么的,捍卫什么civil rights,这个不算违反misconduct把。第二个情况是,在球场上打架,也不算违反这个misconduct吧。

已回答

第23题因为g是12.41%,所以PEG的分母g是0.1241,他为什么除了12.41啊

已回答

这个公式推导出来哪来的 ΔpBO呢

已回答

精品推荐

400-700-9596
(每日9:00-21:00免长途费 )

©2026金程网校保留所有权利

X

注册金程网校

验证码

同意金程的《用户协议》
直接登录:

已有账号登录