
-
CFA二级
包含CFA二级传统在线课程、通关课程及试题相关提问答疑;
专场人数:2448提问数量:55548
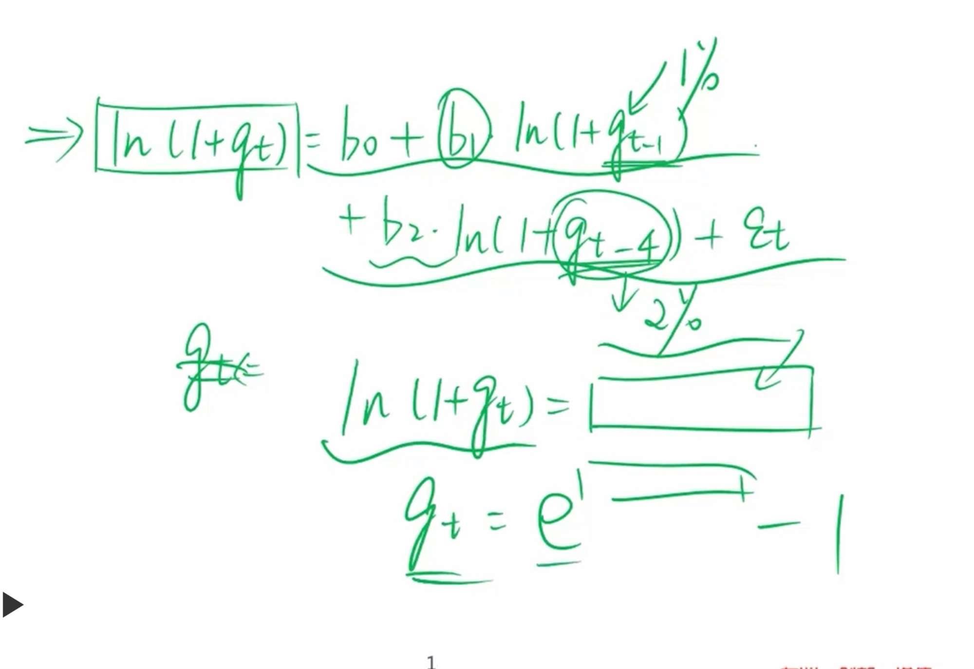
老师,RMSE不是可以看做residual的标准误嘛?那么这个指标不应该是越大说明model的准确性越低嘛;或者说RMSE越小,对于外部样本的准确性越高。但,为啥这里老师讲的是RMSE越大越好呢?
老师,咱的数据一定是像1,3, 5, 7, 9这样吗?如果是,为什么是呢?如果不是,无序的数据是不是就不能用这个方法?比如1, 10000, 300, 20, 500000000, 6, 12, 900...?这时怎么办呢?谢谢老师!
精品问答
- Growth due to capital deepening 是αΔK/K还是ΔK/K
- 这题为什么是选C?
- 请老师讲解一下这个题目
- 老师,第二题可以在解释一下原理吗?
- 老师,第三题答案的意思是:1.因为宽松的货币政策,导致加元利率下跌,导致加元贬值?2.但是,如果利率下跌,也就是分母上的百分比下降,不是会导致价格上升吗?。3.从而短期看是depreciation,但是长期来看,会回归到均值,所以是appreciation?
- CDS的long和short是不是反过来的?就是long CDS代表看涨目标公司credit,所以是卖出一份CDS合约?
- 很迷惑到底是long call+ short stock还是long stock+short call构建无风险资产
- 为啥accrued interest over contract life是0?












