天堂之歌

听歌而来,送我踏青云〜

CFA二级

CFA二级

包含CFA二级传统在线课程、通关课程及试题相关提问答疑;

专场人数:2462提问数量:55658

working capital 投资和Fixed capital 的投资为什么要独立于cash expense另加考虑?这两个会不会有和 Cash expense 叠加的内容?

已解决

产品好的话, CDS保费不是应该更低吗?

已回答

请问这里怎么看出是“一次性”退了2%呀

已回答

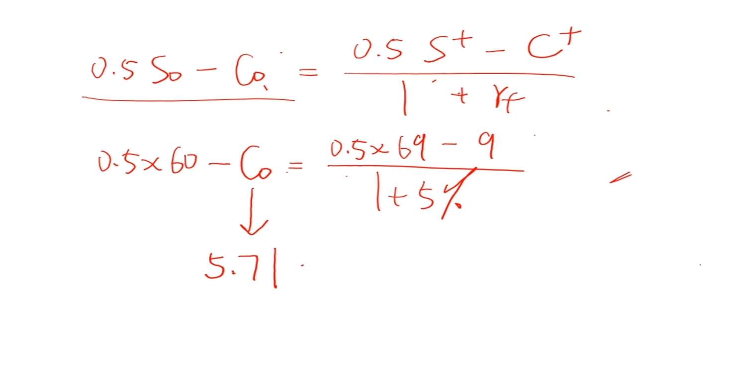
FFO/share*P/FFO不是等于Price吗?谢谢

已解决

这里的期限是否还要考虑一级的久期?

已回答

不能对non public material做深入研究, 这句话正确吗, 为什么

查看试题 已解决

这里为什么consistency不影响?

已回答

什么时候才是选hybrid的时候呢? 是当bond=stock share price的时候么 就是arbitrage free的时候 是hybrid么?麻烦老师解释下hybrid

已回答

请问Nominal DC/FC 是否=CNY/USD的即期汇率?如果不是的话,请问是什么汇率?如果二者是一样,为什么nominal DC/FC还是7保持不变

已回答

1.fungible asset, 是什么资产?2.在investment, comparable company analysis, 为什么要先找一组公司计算P/E, 然后再找一组公司计算takeover premium, 为什么不直接用第二组的数据像可比交易那样一步算?因为第二组公司不是相类似的公司?

已回答

精品推荐

400-700-9596
(每日9:00-21:00免长途费 )

©2026金程网校保留所有权利

X

注册金程网校

验证码

同意金程的《用户协议》
直接登录:

已有账号登录