
-
CFA二级
包含CFA二级传统在线课程、通关课程及试题相关提问答疑;
专场人数:2443提问数量:55533
老师,像这里的第四题的PV fixed又是需要像bond一样,最后一期要加上本金。但是我看前面的第二题,也是求swap的value,那里的V fixed为什么不用考虑本金,只用两个swap rate做差就行了。 对于做题而言,哪些知识点,或者哪个具体的衍生品是要必须要加回本金的呢
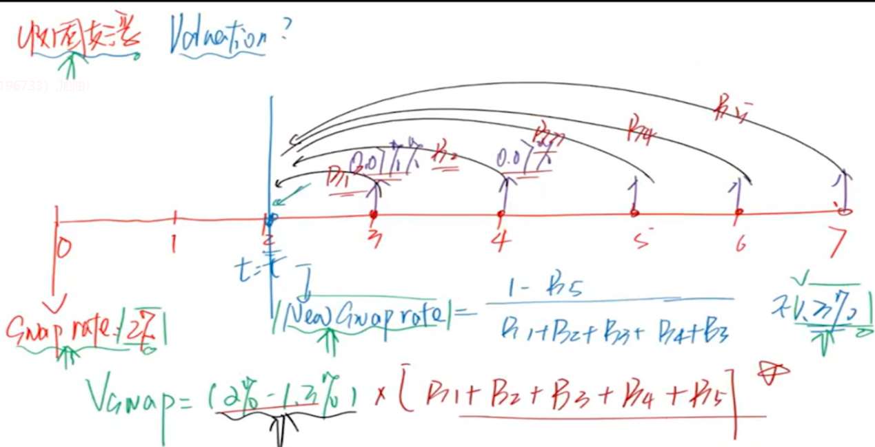
查看试题 已回答老师第二题我有几个问题:1, 为什么这里只用B1 + B2就行了。2. 为什么我这用的B1, B2还是和上道题一样的B1,B2,我如果按照画的图,我不应该用B2,B3吗?或者说新的B1,B2吗? 因为根据我看swap的笔记上,应该是新的才对啊
老师像这里的第3题:10-Year Treasury Note quoted futures contract问的是这个,求的是这个FP标。 我有个疑惑:我什么时候求的是FP标,什么时候又是求的FPA(具体bond的future price)。有什么关键词吗?
查看试题 已回答按照本题前面的描述,T公司在给T-B公司注册资金后被转换成了BRD, 子公司当地货币,这难道不是说明FC不等于RC(NER),应该使用的是current rate method吗?为什么说是使用temporal method?
精品问答
- Growth due to capital deepening 是αΔK/K还是ΔK/K
- 这题为什么是选C?
- 请老师讲解一下这个题目
- 老师,第二题可以在解释一下原理吗?
- 老师,第三题答案的意思是:1.因为宽松的货币政策,导致加元利率下跌,导致加元贬值?2.但是,如果利率下跌,也就是分母上的百分比下降,不是会导致价格上升吗?。3.从而短期看是depreciation,但是长期来看,会回归到均值,所以是appreciation?
- CDS的long和short是不是反过来的?就是long CDS代表看涨目标公司credit,所以是卖出一份CDS合约?
- 很迷惑到底是long call+ short stock还是long stock+short call构建无风险资产
- 为啥accrued interest over contract life是0?






