天堂之歌

听歌而来,送我踏青云〜

CFA二级

CFA二级

包含CFA二级传统在线课程、通关课程及试题相关提问答疑;

专场人数:2461提问数量:55630

为什么dealer是pay美元利息啊

已回答

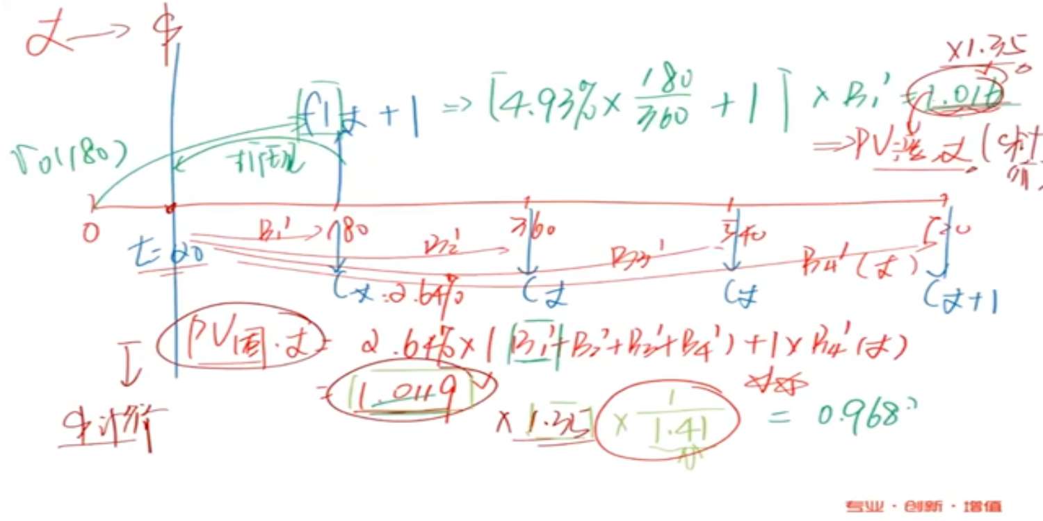
1美元会变成1.35/1.41美元,可是1.0119的单位是英镑啊,为什么可以乘

已回答

课后题module3第7题,为什么是看electricity generation production的增长比率,而不是增长的绝对值呢?即答案为什么选C而不是选B呢

已回答

课后题module3第5题,题目最后一句:regulators are engaging in regulatory:是什么意思?答案为什么选C,不会该选A吗

已回答

课后题module3第2题,statement3说的是什么意思,答案为什么不是B呢?SRO有权利set and enfore rules and standard吗?证监会、证券协会和CFA分别属于什么组织

已回答

SRO和non SRO

已回答

课后题module2第18题,这个国家想改善居民居住条件,且有较高的potential GDP growth rate,那么该国不是应该维持较低的interest rate吗,为什么是相对高的呢

已回答

per capital GDP

已回答

课后题module1第20题,prediction1为什么错了,同时prediction2和3为什么是对的

已回答

theta

已回答

精品推荐

400-700-9596
(每日9:00-21:00免长途费 )

©2026金程网校保留所有权利

X

注册金程网校

验证码

同意金程的《用户协议》
直接登录:

已有账号登录