
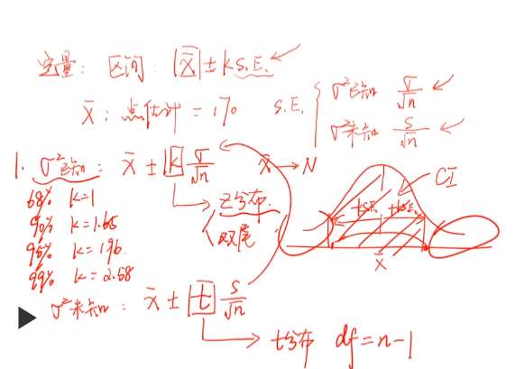
-
CFA一级
包含CFA一级传统在线课程、通关课程及试题相关提问答疑;
专场人数:6084提问数量:109841
老师这道题有点没听懂,前面说到美式option可以提前exercise所以time value是0,以此推断出IV等于EV,但为什么后面又说time value大于0了?我理解还有三个月到期所以大于零但整个逻辑没太懂
已回答为什么optimal risky portfolio 只含有risky assets 啊,不是由权重为w的risky assets 和权重为1-w的risk free assets 组成的吗
查看试题 已回答精品问答
- Effective duration和Effective convexiy的公式为什么不用modified duration和convexity的原本公式,而是和他们的近似的久期和突性的公式一致?
- 为什么长期垄断竞争中 D和ATC相切
- 为什么TC 的切点对应是AVC的最低点?
- 为什么可以把TR TC同时体现在纵轴?
- 为什么B选项要考虑借股还股?而A选项没有考虑借钱买然后还钱?可以都不考虑吗?还是借股还股一定要在这个流程中体现?
- 老师好,官网这道题我有点没太懂,麻烦讲解
- 老师您好!这个需要掌握吗?谢谢
- 是不是只有在市场均衡点,才是社会总福利不损失的点? 偏离市场均衡点,社会总福利都会损失? 因为要么生产过剩,要么就是总供给不足. 另外,为什么只有在完全竞争市场中才能实现社会总福利最优,才能有市场均衡点? 在其他各类市场中,不是需求供给需求也是有的吗?他们的均衡点难道不是市场均衡点吗? 在那个点声场不是可以实现社会总福利最优吗? 这点不是很清楚,老师可以画图说明下. 另外, 对于一级价格歧视这种,它又是怎么实现社会总福利不损失的,这时候的需求曲线和供给曲线是什么样的?和完全竞争市场不同吗






