天堂之歌

听歌而来,送我踏青云〜

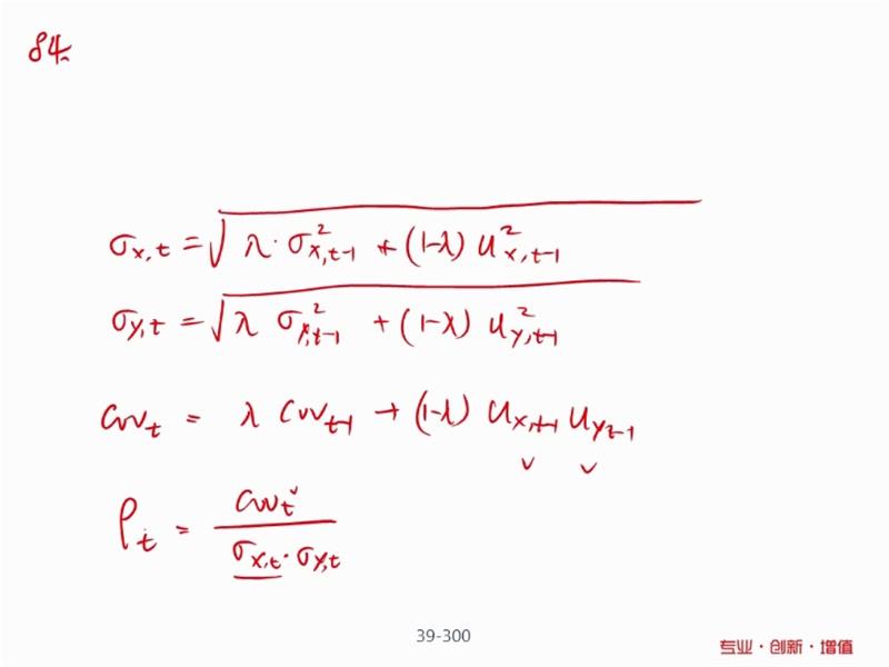
FRM问答

FRM问答

FRM问答包含在线课程、FMR通关课程、FRM试题等所有FRM相关问题,每个问题老师均会在24小时内给出答疑回复哦!

专场人数:0提问数量:0

请问为什么1.645对应的是90%,我记得之前让背的是95%,而且这个为什么是单尾呢

已回答

请问netting factor是越小越好吗

已回答

老师能讲解下这个题目吗?计算上没有看懂

已回答

中行原油宝事件如果考到,涉及的是市场风险吗?还是别的风险?

已回答

46题因为是sell option 所以先收到premium就没有exposure,如果是买方的话exposure怎么算呢

已回答

老师,能否讲解一下C和D。C选项中,借款人借资金,担心未来利率上涨,所以对冲策略是long FRA,但是为什么FRA中收浮动而支固定呢?

查看试题 已回答

请问这个1.64不应该对应90%吗?1.96对应95%,还有这个为什么是单尾?

已回答

请问第四句是什么意思呢?是lnx1乘lnx2还是x1乘x2服从正态分布?

已回答

老师说第二个和第一个是反着的,一个加法一个乘法为什么是反着的呢?

已回答

此题计算出来的CALL的N(d1)大概是0.8159,但是他是AT THE MONEY呀,不是应该在0.5左右么?

查看试题 已回答

精品推荐

400-700-9596
(每日9:00-21:00免长途费 )

©2026金程网校保留所有权利

X

注册金程网校

验证码

同意金程的《用户协议》
直接登录:

已有账号登录