天堂之歌

听歌而来,送我踏青云〜

FRM问答

FRM问答

FRM问答包含在线课程、FMR通关课程、FRM试题等所有FRM相关问题,每个问题老师均会在24小时内给出答疑回复哦!

专场人数:0提问数量:0

关于非清算会员和清算会员的保证金问题。非清算会员通过清算会员在交易所内进行交易。是清算会员给非清算会员在交易所开户呢还是非清算会员的交易包含在清算会员与交易所的交易中呢?非清算会员的初始保证金和变动保证金是交给清算会员嘛?类似清算会员根据交易所的要求给非清算会员制定初始保证金,变动保证金的缴纳百分比,清算会员起到中间商的作用?

已回答

请老师讲解下第4个交易,买一个二手贷款,这是为什么呢?这操作是怎么赚钱的?

已回答

监管风险和合规风险是不是不属于操作风险?属于单独的风险类别吗?

已回答

不是24%的平方吗

已回答

这一题怎么解

已回答

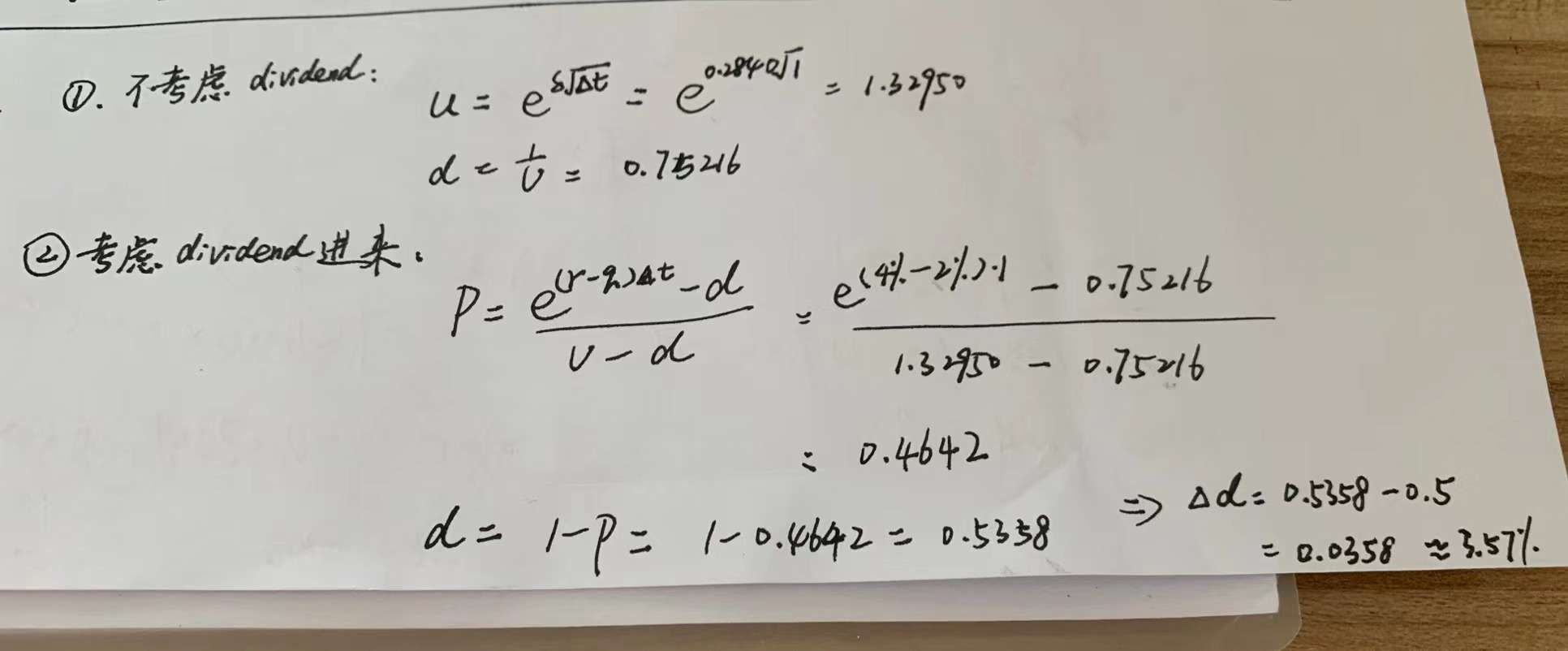
这道题是不是这样算的?先算不考虑q的,再算出带q的,最后算delta d

查看试题 已回答

704题 价格变化delta会变化,但是gamma不是也应该变化吗 为啥还能用0.03乘以2呢?

已回答

老师,如果要用计算器算一组数据的均值方差,就是那个7上面的data 可以,就是这个n怎么设呢,我明明输进去5个x的值,上面n还是7

已解决

请问这个无风险利率前面为什么要用4%-3%,而后面计算的时候却只用4%折现呢?这个欧元、美元利率之间的关系不是太明白。

查看试题 已回答

702题请讲解一下

已回答

精品推荐

400-700-9596
(每日9:00-21:00免长途费 )

©2026金程网校保留所有权利

X

注册金程网校

验证码

同意金程的《用户协议》
直接登录:

已有账号登录