
-
FRM问答
FRM问答包含在线课程、FMR通关课程、FRM试题等所有FRM相关问题,每个问题老师均会在24小时内给出答疑回复哦!
专场人数:0提问数量:0
精品问答
- 不理解这里为什么Risk Chaampions & Business-Line Managers 负责monitor Operational Risk Function Operational Risk Committee 负责act 难道不应该是一线业务人员负责act,然后上一级负责monitor更贴切嘛
- 请问selection bias 与 self-selection bias 有什么区别?我看到一个老师回复的是:不同个体选择样本不同,这就是自选择偏差,是不同个体本身固有的差异。请问这里的不同个体是指不同的人吗?
- 这里的cash 中性是只需要CAPM中的benchmark=0?还是这个benchmark怎么样?什么叫阿尔法不会产生active cash position?CAPM中阿尔法并不在基准中啊?
- 最后一行的对比是啥意思,老师展开解释一下。增量收费和FRTB定义差异
- 欧几里得距离是干什么的?这个具体是什么内容,可以详细解释一下吗?是在哪一章的什么知识点?
- 老师,收益率的波动率(yield volatility)和基点波动率(basic volatility)能给讲一下么?尤其是前面的,后面的基点波动率我记得是公式dw前面的
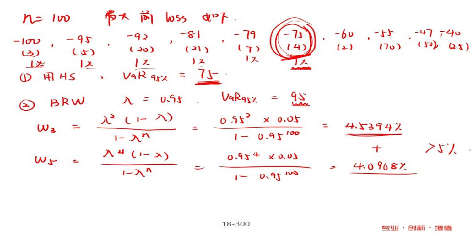
- 这题没懂,涉及的知识点能给详细、系统的讲解一下吗
- 可以详细解释一下多德弗兰克法案是什么内容吗?具体是在哪一章什么知识点涉及的呢?












