
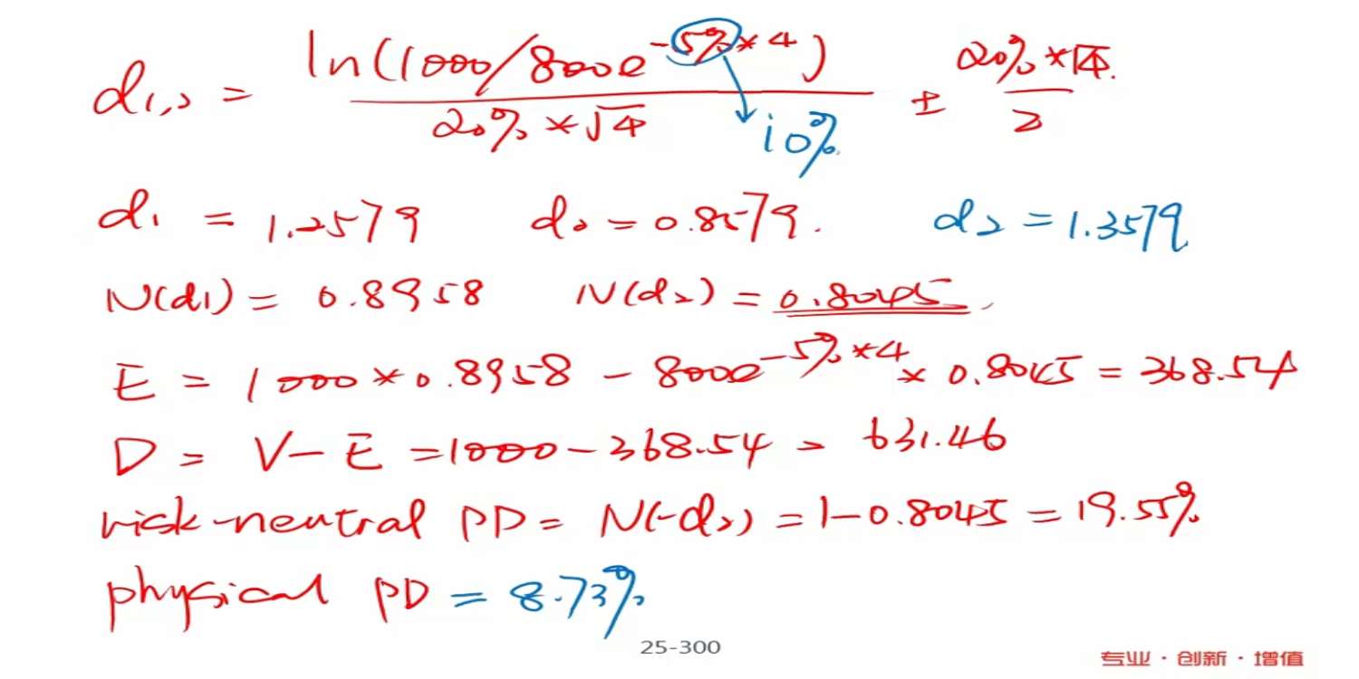
-
FRM问答
FRM问答包含在线课程、FMR通关课程、FRM试题等所有FRM相关问题,每个问题老师均会在24小时内给出答疑回复哦!
专场人数:0提问数量:0
the specialist should recommend against investment in the fund 。是说专家不建议投资基金啊。老师翻译错了。请再解释一下第四个选项为何错吧,谢谢!
查看试题 已回答精品问答
- 不理解这里为什么Risk Chaampions & Business-Line Managers 负责monitor Operational Risk Function Operational Risk Committee 负责act 难道不应该是一线业务人员负责act,然后上一级负责monitor更贴切嘛
- 可以帮我罗列一下二级case 常考的时间和原因结果m
- 请问selection bias 与 self-selection bias 有什么区别?我看到一个老师回复的是:不同个体选择样本不同,这就是自选择偏差,是不同个体本身固有的差异。请问这里的不同个体是指不同的人吗?
- 请问,求组合标准差需要乘以权重,但是组合var,不需要权重,想不明白?麻烦仔细讲下
- 这里的cash 中性是只需要CAPM中的benchmark=0?还是这个benchmark怎么样?什么叫阿尔法不会产生active cash position?CAPM中阿尔法并不在基准中啊?
- 老师,这里benchmark的中性化,三个回归是什么逻辑?
- 最后一行的对比是啥意思,老师展开解释一下。增量收费和FRTB定义差异
- 为什么这里横纵坐标相加不等于1



