天堂之歌

听歌而来,送我踏青云〜

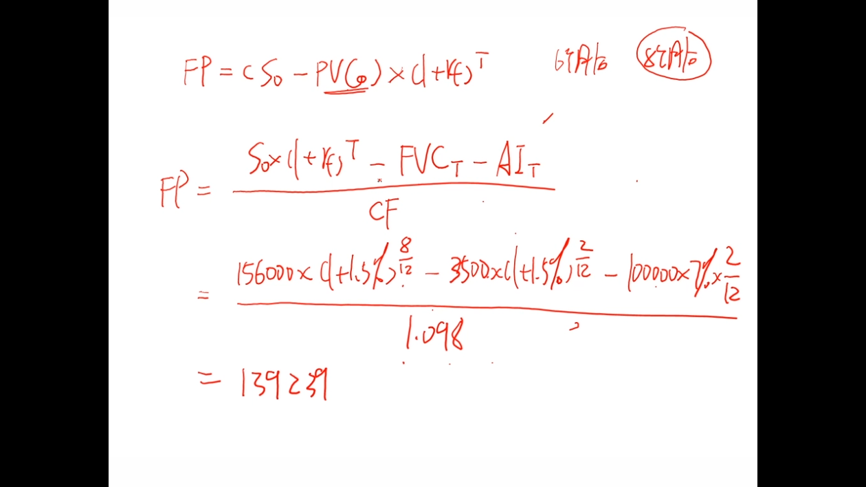
CFA问答

CFA问答

CFA问答包含CFA在线课程、CFA通关课程、CFA试题等所有CFA相关问题,每个问题老师均会在24小时内给出答疑回复哦!

专场人数:0提问数量:0

同样效用函数,为何两边是0.05和0.005,要记住吗,为什么不一样

已解决

这里的N(d1)和N(d2)定义是什么?视频没讲清楚

已回答

为什么顺差大,本币升值?

已回答

net premiums earned 和 net premiums written 有什么区别吗,都是指净保费收入吗,这个net 都是从premium中减去了哪一项呢

已回答

老师,从哪里可以看出他选的benchmark合适呢?另外披露业绩时必须说明是否扣除fee和tax了吗

已回答

对冲基金和私募股权基金的相似处与区别有哪些?课程中哪里有提及吗?老师能否帮忙总结下

已回答

这是对谁求一阶导,怎么求导得出左侧结论的,要记忆吗

已回答

老师您好 这里减去net investment in fixed capital可以看作是CFI吗? 从cfo出发计算FCFF=CFO-FC investment这部分可不可以看作CFO在调整non-operating item?

已解决

老师您好 dividend paid属于CFF时不需要加回来 但是属于CFO却要加回来 我明白属于CFF时这个股利没有在CFO中扣除 所以不用加回来 但是free cash flow为什么只考虑CFO而不考虑CFF中的现金流呢?

已回答

恶性通胀下只用temporal method吗

已解决

精品推荐

400-700-9596
(每日9:00-21:00免长途费 )

©2026金程网校保留所有权利

X

注册金程网校

验证码

同意金程的《用户协议》
直接登录:

已有账号登录