天堂之歌

听歌而来,送我踏青云〜

CFA三级

CFA三级

包含CFA三级传统在线课程相关提问答疑;

专场人数:1542提问数量:41009

哪里看出来plan sponsor hold investment grade credit rating

已解决

Tracking error有三分之二的说法吗?怎么没有印象?第二题老师有讲过pvd可以降低tracking error吗?

已回答

为什么a

已解决

这道题看不懂呢

已回答

答案是不是错了?应该选a,文中说了是有大量的alternative

已解决

请讲下此题,没看懂答案

已回答

为什么是sorting ratio

已解决

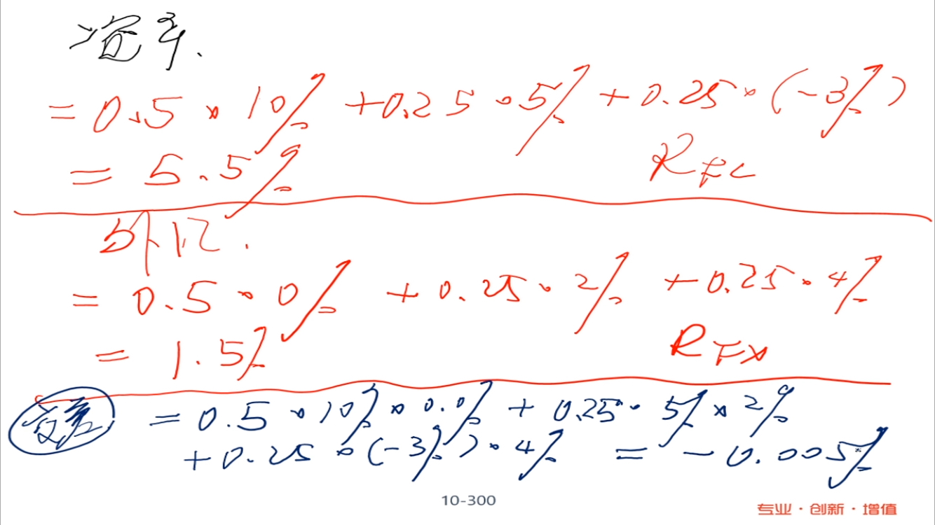
Currency reading 10, 课后题第25题,cross-product is equal to -0.005% 这个是什么意思?

已回答

Q21,1)为什么put option是OTM,ITM或者ATM行不行?2)C是collar么?3)为什么call option也是OTM?

已回答

Q20,这种未到期的rebalance,都是要调到期初的contract状态么?这里跌了7milGBP,再买7milGBP,是相当于回归了期初的100mil么?

已回答

精品问答

精品推荐

400-700-9596
(每日9:00-21:00免长途费 )

©2026金程网校保留所有权利

X

注册金程网校

验证码

同意金程的《用户协议》
直接登录:

已有账号登录