天堂之歌

听歌而来,送我踏青云〜

CFA二级

CFA二级

包含CFA二级传统在线课程、通关课程及试题相关提问答疑;

专场人数:2462提问数量:55672

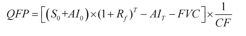
这个地方老师讲错了 普通股不是3.47, 应该是3.47*90%。这样才是PE出资的FV11.45

已解决

哈罗,这个可以梳理一下吗

已回答

delta 代表什么?

查看试题 已回答

Statement2后面的as这半句是什么意思

已回答

老师好,Working capital 都包括哪些内容来着,时间紧张,我实在想不起来了,谢谢

已解决

老师好,这个TV5 的分母为什么不是r-g呀,而只有一个r, 什么时候用r, 什么时候用r-g呀

已解决

哈罗,请问可转债是价格高时是价内吗?

已回答

第三问,为什么算exposure用二叉树,但是折现率用表2 的折现因子?

查看试题 已回答

老师好,问一个实务的问题,如果用CAPM或者多因子模型 回归出 cost of equity 也就是 现金流折现模型里的折现率r, 那么这个r是多久以前的数据做出来的,比如从今天开始,往前5年的数据,或者以这家公司上市以来所有的数据为样本。用这样的历史数据做出的回归模型,算出的r , 能用于两阶段DCF model吗,DCF model, 是未来5年或者更远,所以用capm 算出的r, 能用于预测未来吗?具体怎么用?

已解决

老师您好,我最后这个例子还有点不太懂,再想请问一下您这个bullet 策略转向 barbell策略的影响是怎么理解的?是中期期限多的转向短期和长期,所以短期和长期利率会下降吗?

已回答

精品推荐

400-700-9596
(每日9:00-21:00免长途费 )

©2026金程网校保留所有权利

X

注册金程网校

验证码

同意金程的《用户协议》
直接登录:

已有账号登录