
-
CFA二级
包含CFA二级传统在线课程、通关课程及试题相关提问答疑;
专场人数:2443提问数量:55528
这题里,如果从这个角度考虑为什么不行呢:因为spot rate是逐年上升,discount rate也是上升的,从而price是逐年下降。那么从price的角度理解,不就是呈deflation吗?
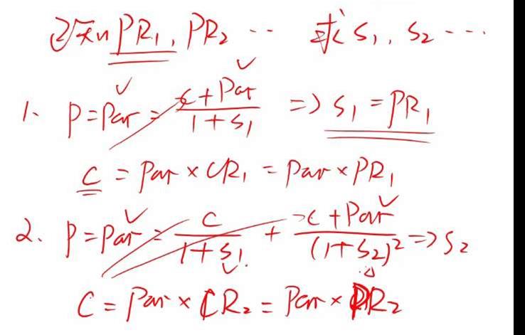
不好意思老师。请问两年期的par rate等于两年期的YTM吗?等于两年期的spot rate吗?(还是说除了一年期以外的 其他都需要单计算par rate 以及 YTM和 spot rate这样?
老师 par rate不等于YTM吗?为什么已知par rate还需要求spot rate? 不是相等的吗?coupon rate和par rate和YTM不是同一个吗?(平价债券中不是相等的吗?)谢谢您。
精品问答
- Growth due to capital deepening 是αΔK/K还是ΔK/K
- 这题为什么是选C?
- 请老师讲解一下这个题目
- 老师,第二题可以在解释一下原理吗?
- 老师,第三题答案的意思是:1.因为宽松的货币政策,导致加元利率下跌,导致加元贬值?2.但是,如果利率下跌,也就是分母上的百分比下降,不是会导致价格上升吗?。3.从而短期看是depreciation,但是长期来看,会回归到均值,所以是appreciation?
- CDS的long和short是不是反过来的?就是long CDS代表看涨目标公司credit,所以是卖出一份CDS合约?
- 很迷惑到底是long call+ short stock还是long stock+short call构建无风险资产
- 为啥accrued interest over contract life是0?









