天堂之歌

听歌而来,送我踏青云〜

CFA二级

CFA二级

包含CFA二级传统在线课程、通关课程及试题相关提问答疑;

专场人数:2443提问数量:55528

case1的第4题。合并报表的话,母公司的equity中不是应该加上少数股东权益部分,这题里50%的股权且equitybookvalue 和fairvalue相等,正好是23689

已回答

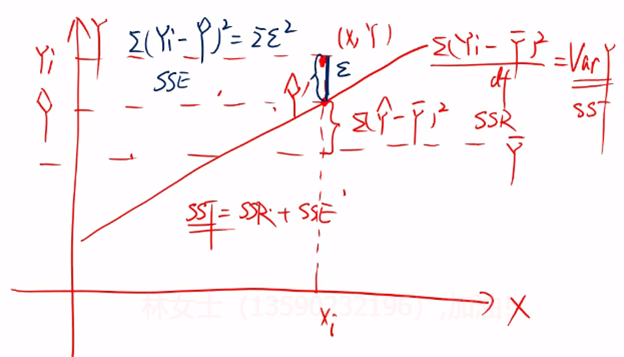
为什么图中∑(Y^-Y-)的平方为可解释部分,∑(Yi-Y^)的平方为不可解释部分?怎么判断的,为什么不是颠倒过来。

已回答

老师,请问什么是全额投资期货呀?为什么全额投句没有爆仓的可能呢?

已回答

上课讲的不是如果是债券形式持有就受delta r 影响股票型是持有就受delta p stock影响么这叫risk return character为啥c错谢谢

已回答

老师 这里的continuous对应的是distinct不是你说的discrete分散 可以重新解释吗?

已回答

算风险敞口的价格部分时用的折现率时为什么是无风险利率?比如第四期exposure=P4,相当于在t=4 时将该债券卖掉的价格,用DCF的话,由于分子是全部的现金流100,那分子应该用该公司对应的折现率呀,不应该是无风险利率吧

已回答

为什么红框里的最括号前要加负号而另外两个duration计算的时候都不需要加呢?

已回答

原版书P333例5第4题,解答没看懂

已回答

课后题第23题,答案解析中给了两种解法,第一种没理解

已回答

老师,这里为何不再用股利去推导

已回答

精品推荐

400-700-9596
(每日9:00-21:00免长途费 )

©2025金程网校保留所有权利

X

注册金程网校

验证码

同意金程的《用户协议》
直接登录:

已有账号登录