天堂之歌

听歌而来,送我踏青云〜

CFA二级

CFA二级

包含CFA二级传统在线课程、通关课程及试题相关提问答疑;

专场人数:2443提问数量:55533

Low basis securities 是什么意思

已回答

恶性通胀的汇率为什么会暴跌

已回答

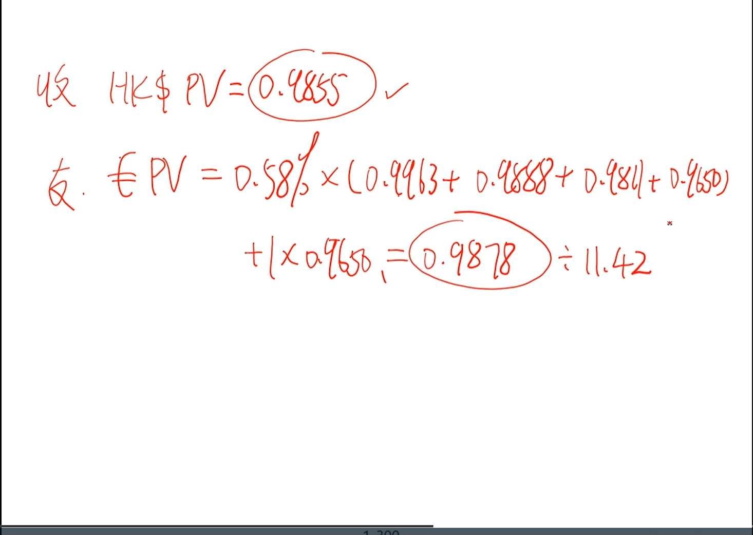
HK11.42 per euro,那这里0.9878的欧元换成港币不是应该乘以11.42吗

已回答

老师,股票回购不影响net income吗?股票回购不是跟发放现金股利差不多嘛,发放现金股利不是减少当年的NI 吗?这里为什么不影响NI?

已回答

MOCK 1 PM 第19题,我认为statement 1是对的,statement 3 是错的,讲义上有具体文字,请看下图

已回答

Mock1 PM 第19题,关于statement 1,很奇怪,我们不总是说股票回购和现金股利是一样的吗?这里又说不一样

已回答

R34的35题。之所以+147是因为call option on stock对bond持有者有利吗?不同于-Vcall+Vput这里的标的资产都是债券而非股票?

已回答

18题选项C,这整句话是什么意思?

已回答

请问老师R34的第31题,这里某一年的KRD是怎么理解?Duration不是按照债券到期之前所有现金流的预期偿付时限吗?

已回答

老师好,这道题应该怎么理解?

已回答

精品推荐

400-700-9596
(每日9:00-21:00免长途费 )

©2025金程网校保留所有权利

X

注册金程网校

验证码

同意金程的《用户协议》
直接登录:

已有账号登录