
-
CFA二级
包含CFA二级传统在线课程、通关课程及试题相关提问答疑;
专场人数:2443提问数量:55527
如何计算cash received from associates?为什么说Only the dividends received from associate companies would be cash, not the amount reported as income from investments in associates. When using the equity method to account for an investment, the investment account on the balance sheet increases by the amount of accrued investment income recognized and decreases by the amount of dividends received.
已回答精品问答
- Growth due to capital deepening 是αΔK/K还是ΔK/K
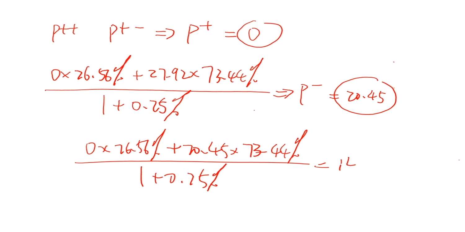
- 这题为什么是选C?
- 请老师讲解一下这个题目
- 老师,第二题可以在解释一下原理吗?
- 老师,第三题答案的意思是:1.因为宽松的货币政策,导致加元利率下跌,导致加元贬值?2.但是,如果利率下跌,也就是分母上的百分比下降,不是会导致价格上升吗?。3.从而短期看是depreciation,但是长期来看,会回归到均值,所以是appreciation?
- CDS的long和short是不是反过来的?就是long CDS代表看涨目标公司credit,所以是卖出一份CDS合约?
- 很迷惑到底是long call+ short stock还是long stock+short call构建无风险资产
- 为啥accrued interest over contract life是0?








