天堂之歌

听歌而来,送我踏青云〜

CFA二级

CFA二级

包含CFA二级传统在线课程、通关课程及试题相关提问答疑;

专场人数:2461提问数量:55633

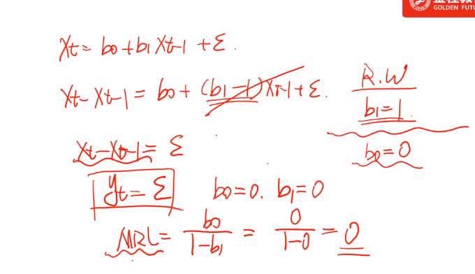
请问图片里框出来的11.822是怎么来的

查看试题 已回答

关于货币互换,老师只讲了固定浮动互换,固定固定互换的pricing,浮动还浮动是没办法pricing是吗?

已解决

老师,请问floating rate这一侧为什么是par at price呀?

已回答

第一题, lincensens的计算办法怎么和full goodwill计算办法一样?而且记账办法也一样?

查看试题 已回答

所以老师的意思是,利率互换已经不会像老考纲这种考法来考我们了,但是我们还是要掌握解题思路?

已解决

第六题,计算consolidation时为什么默认在full goodwill下计算合并后的asset?题目好像没表明是用full goodwill还是partial goodwill。

查看试题 已回答

老师好,第二小问计算中,回购用的$40 million,为什么既可以作为market value又作为book value of equity呢?这样的话是否会存在book value为0而market value还有值的情况?谢谢!

查看试题 已回答

另类,MB2-Q37 Faro's recommended addition to the optimization process most likely addresses:

已解决

老师,既然C IRP涉及套利,为什么说C IRP是无套利的

已回答

模型1和模型3的SST相同,这个怎么理解为什么会相同?

查看试题 已回答

精品推荐

400-700-9596
(每日9:00-21:00免长途费 )

©2026金程网校保留所有权利

X

注册金程网校

验证码

同意金程的《用户协议》
直接登录:

已有账号登录