
-
CFA一级
包含CFA一级传统在线课程、通关课程及试题相关提问答疑;
专场人数:6076提问数量:109571
老师,再确认一下,对冲组合应该是n份股票+1份put option/- 1份call option组成对吧?(P+ - P-)或(C+ - C-)/(S+ - S-)所得是股票系数n对吧?
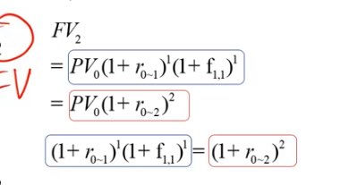
查看试题 已解决在推倒远期利率的公式时,视频里老师说,因为图一的两种投资方式(两个不同的时间族)的FV2应该相等,:图一的两种投资方式,描述的事情是,投资两年,第一种是在第一年的时候,取出来,在重新投资,第二种是在第一年一次性把钱投入,存两年。我不懂的点在于:不是说复利比单利更赚钱吗?这两种投资方式,第一种方式不是复利计息吧?(因为在中间的第一年取出来了,是单利计息),所以这两种方式的FV2不同呀。
老师,我不太明白,这个selling a call和后面借钱买资产,到期卖出去有啥关系吗?按照视频里讲,直接执行selling a call就可以有这个收益了,完全没必要做后面那几个动作呀?
查看试题 已解决精品问答
- 为什么半年付息 算ytm是乘以2 而年化的麦考利久期是除以2
- 为什么长期垄断竞争中 D和ATC相切
- m上升 EAR为什么上升 以及为什么又不变
- 为什么TC 的切点对应是AVC的最低点?
- 前面在讲Aggregate demand curve的时候说,价格上涨使消费下降,而这里又说价格下降消费变少,为什么存在矛盾?
- 为什么可以把TR TC同时体现在纵轴?
- 对于老师讲的这部分,1. 我理解FRA的Payoff始终等于利率期货的Payoff部分进行折现(除以1个大于1的数),也就是说,FRA的Payoff的变动幅度 应该 始终小于利率期货的变动幅度。2. 至于是涨多跌少,还是涨少跌多,其实MRR在分母上,可以根据1/x的曲线特点来理解,无非就是MRR上升时1/(1+MRR)的变动幅度 小于 MRR下降时1/(1+MRR)的变动幅度,所以如果MRR上升时,Payoff是上升的,那么就是涨少跌多,如果MRR上升时,Payoff是下降的,那就是涨多跌少。以上2点,我理解的对吗?
- 为什么B选项要考虑借股还股?而A选项没有考虑借钱买然后还钱?可以都不考虑吗?还是借股还股一定要在这个流程中体现?









