天堂之歌

听歌而来,送我踏青云〜

CFA一级

CFA一级

包含CFA一级传统在线课程、通关课程及试题相关提问答疑;

专场人数:6084提问数量:109841

交易性金融资产的浮盈浮亏是同通过什么会计科目进入利润表的?交易性金融资产的浮盈浮亏和留存收益有关吗?

已解决

impairmentexpense属于什么类别?SG&A吗?

已回答

可以翻译一下吗?

已回答

59题详细讲解下三个选项呗

已解决

55题为什么不选c呢

已解决

老师,是Junior优先,还是surbodinated优先

查看试题 已回答

老师,这个题怎么算啊,我一直算不出来,答案那个表格感觉算的好乱。老师能不能写一个有条理的过程

查看试题 已回答

BASE法则计算存货时,今年卖掉的存货为什么是COGS,COGS里面包含的东西很多,不仅仅是当年卖掉的存货吧?工人的工资不是也在里面吗?可以直接减去吗?

已回答

这个恒等式是怎么来的?课件讲义貌似没讲到这个嘛?

查看试题 已回答

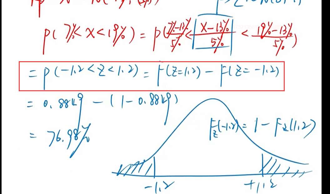
正态分布视频课程没讲这个知识点啊,课后习题出现这知识点,都不知道怎么做,完全靠蒙啊

查看试题 已回答

精品推荐

400-700-9596
(每日9:00-21:00免长途费 )

©2026金程网校保留所有权利

X

注册金程网校

验证码

同意金程的《用户协议》
直接登录:

已有账号登录