天堂之歌

听歌而来,送我踏青云〜

CFA一级

CFA一级

包含CFA一级传统在线课程、通关课程及试题相关提问答疑;

专场人数:6084提问数量:109841

这题的讲解配错了吧?

查看试题 已回答

百题29,告诉了发行在外的股份数是不是用不到?如果这题股份数期初期末不一样,影响equal-weighted计算吗?

已回答

老师,这题视频讲解选C,讲义里选B,那究竟选什么呢?

已解决

老师,选C不是只是IFRS的做法吗?我选了B,请解释,谢谢

已回答

根据表格信息,这道题可否只考虑asset下降了8000,netincome下降了4000,其他参数都没有变化,所以是发生了4000的股利发放呢?谢谢

查看试题 已回答

请问c选项中,增加原材料也就是存货的支出,不会是的ni也同步减少吗?

查看试题 已回答

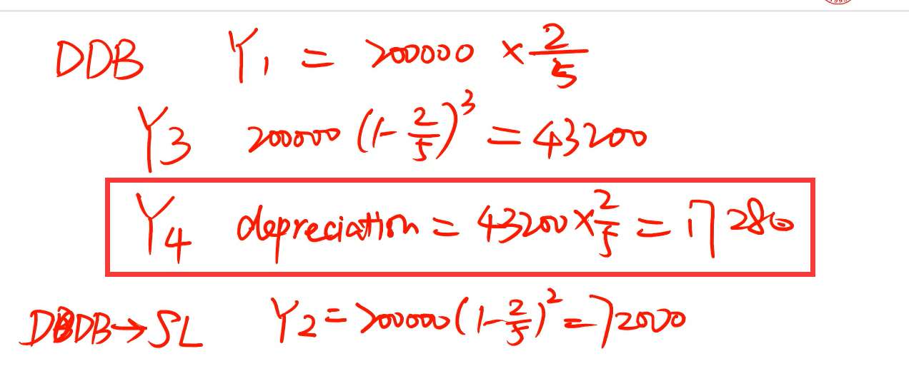
我好像记得,双倍余额递减法,到最后两年,是把净值直接除以2的吧?

查看试题 已解决

这个题目是不是不严谨啊,折旧和摊销,完全两个概念啊,折旧对应的是固定资产,摊销对应的是无形资产,而无形资产是没有残值的

查看试题 已回答

residual value 和 salvage value 啥区别,我看翻译都是残值

查看试题 已回答

为什么84是减项呢

查看试题 已回答

精品推荐

400-700-9596
(每日9:00-21:00免长途费 )

©2026金程网校保留所有权利

X

注册金程网校

验证码

同意金程的《用户协议》
直接登录:

已有账号登录