-
FRM问答
FRM问答包含在线课程、FMR通关课程、FRM试题等所有FRM相关问题,每个问题老师均会在24小时内给出答疑回复哦!
专场人数:0提问数量:0
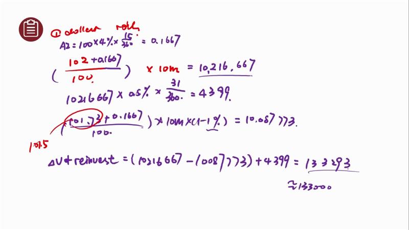
这道题,答案rD-rF,把CHF看成国内,得出F=1.3656CHF;3月期货价1/0.735=1.3605CHF。这两个价格反映的是CHF的期货价吧?答案是usd的期货价。另外低估高估后如何套利,有没有简单记忆法
请问老师两个问题,按照上课老师的分析,选项B为什么错误,还有一个问题,CDO产品中,每个层级的Value与其对应CDS的spread价格要怎么理解,是反向变化关系吗?value增加,对应spread价格降低,这个关系要怎么去理解呢?更值钱的东西不是保费应该更高吗?
精品问答
- 不理解这里为什么Risk Chaampions & Business-Line Managers 负责monitor Operational Risk Function Operational Risk Committee 负责act 难道不应该是一线业务人员负责act,然后上一级负责monitor更贴切嘛
- 可以帮我罗列一下二级case 常考的时间和原因结果m
- 请问selection bias 与 self-selection bias 有什么区别?我看到一个老师回复的是:不同个体选择样本不同,这就是自选择偏差,是不同个体本身固有的差异。请问这里的不同个体是指不同的人吗?
- 请问,求组合标准差需要乘以权重,但是组合var,不需要权重,想不明白?麻烦仔细讲下
- 这里的cash 中性是只需要CAPM中的benchmark=0?还是这个benchmark怎么样?什么叫阿尔法不会产生active cash position?CAPM中阿尔法并不在基准中啊?
- 老师,这里benchmark的中性化,三个回归是什么逻辑?
- 最后一行的对比是啥意思,老师展开解释一下。增量收费和FRTB定义差异
- 为什么这里横纵坐标相加不等于1
