天堂之歌

听歌而来,送我踏青云〜

FRM问答

FRM问答

FRM问答包含在线课程、FMR通关课程、FRM试题等所有FRM相关问题,每个问题老师均会在24小时内给出答疑回复哦!

专场人数:0提问数量:0

公式是啥

查看试题 已解决

不都是OTM吗

查看试题 已回答

残差的方差不恒定是什么意思啊,残差的方差算出来不就是一个数吗

查看试题 已回答

这个ppt30,老师是不是没有讲到啊?没有解释

已回答

老师,讲一下这题,尤其第一选项,federal funds 指什么

查看试题 已回答

法律风险与合规风险的区别

已解决

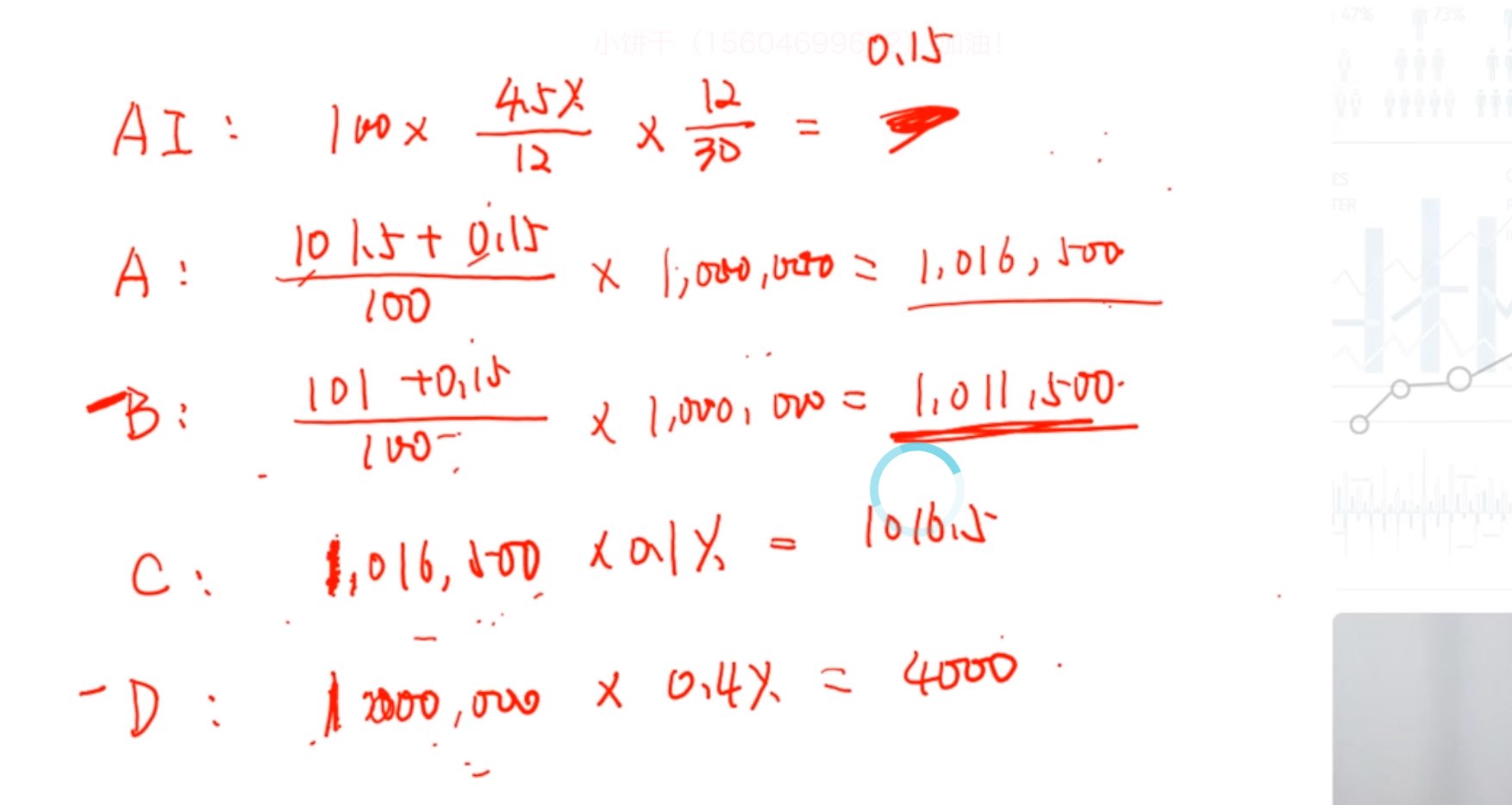
老师这个AI指的是什么呀?这个公式是什么,然后后面那个为啥要加上这个算出来的AI呢?

已解决

在交易所中交易时,交易所是不是你的交易对手?是不是你的交易被交易所接下,然后它再寻找买家,类似于做市商?还是说它只负责撮合交易?

已解决

可以具体解释一下四个选项吗

查看试题 已解决

E-money,I-money和B-money前面这个缩写全程分别是什么?

已解决

精品推荐

400-700-9596
(每日9:00-21:00免长途费 )

©2026金程网校保留所有权利

X

注册金程网校

验证码

同意金程的《用户协议》
直接登录:

已有账号登录