天堂之歌

听歌而来,送我踏青云〜

FRM问答

FRM问答

FRM问答包含在线课程、FMR通关课程、FRM试题等所有FRM相关问题,每个问题老师均会在24小时内给出答疑回复哦!

专场人数:0提问数量:0

老师,选项c引申的cash flow mapping怎么考虑相关性的

已回答

d选项将第二类错误最小化,不会使第一类错误更大吗,为啥还是最有效的

查看试题 已回答

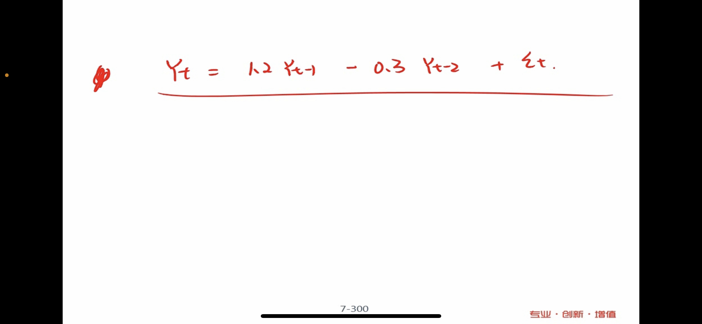
AR模型说回归方程系数绝对值小于1时稳定,是每个系数都小于1,还是求和后绝对值小于一呢?

已回答

strangle为什么比straddle更便宜呢?便宜是从哪里体现出来的?还有图中圈出来的那种情形,为什么说这种情形更贵且投资的效果不好呢?

已解决

老师,cd该如何理解呢

已解决

老师,麻烦问下这部分在讲义的哪里啊?

查看试题 已解决

老师可以解释一下D选项嘛

查看试题 已回答

选项a c不是自相矛盾吗,题干描述的都是一个情景,buffer不足,带来影响,感觉bc都对啊,

已解决

这里为什么K1<K2?

已回答

没看懂这题的意思 可以解释一下吗?

查看试题 已回答

精品推荐

400-700-9596
(每日9:00-21:00免长途费 )

©2026金程网校保留所有权利

X

注册金程网校

验证码

同意金程的《用户协议》
直接登录:

已有账号登录