
-
CFA问答
CFA问答包含CFA在线课程、CFA通关课程、CFA试题等所有CFA相关问题,每个问题老师均会在24小时内给出答疑回复哦!
专场人数:0提问数量:0
老师,目前我发现有样本区间和总体区间,这里的区间是置信区间,confidence interval的概念么,而且总体区间CIx=u+-k 乘以sigma对么,而样本区间则是x拔+-k乘以SE。其中SE=sigma除以根号n。这两个公式可以这样对比记忆么,不知道我理解的对不对呢
查看试题 已回答R3书后题第15题,这题为什么把Dean的行为归为违反misrepresenting而不是违反disclosure of conflicts?这些给他钱让他写研报的公司除了给钱也没提供什么其它的帮助呀。
已回答精品问答
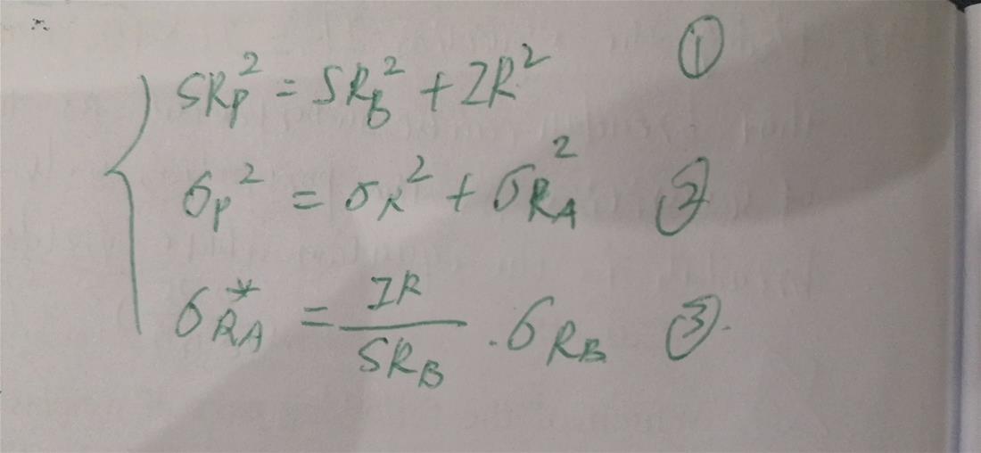
- Risk Budget and risk parity 第二道思考题,里面的Variance是不是完全是个冗余信息,给来误导的呀?
- 为什么半年付息 算ytm是乘以2 而年化的麦考利久期是除以2
- Growth due to capital deepening 是αΔK/K还是ΔK/K
- 为什么TC 的切点对应是AVC的最低点?
- 老师,给最新的信息更高权重为什么不是availability bias呢?
- 她对个人笔记本电脑(personal laptop)进行了完整备份(full backup),并确保备份前已删除所有公司文件(all company files removed)。 目的:确保新备份中不包含任何前公司数据,避免合规风险。 遗留问题: 硬盘上的旧备份(previous backups)仍包含公司文件。 她不想因删除旧备份而丢失个人文件的备份历史(backup history for personal files)。 针对上述分析我有个疑惑,这个人不是已经在自己笔记本上备份了drive上的个人信息吗,怎么又Not wanting to lose the backup history for her personal files呢?他不是已经把自己的私人信息备份了吗!?
- 这里第二题的意思是三种方法都适用吗?没太理解,能否在讲解下
- Effective duration和Effective convexiy的公式为什么不用modified duration和convexity的原本公式,而是和他们的近似的久期和突性的公式一致?



