天堂之歌

听歌而来,送我踏青云〜

CFA二级

CFA二级

包含CFA二级传统在线课程、通关课程及试题相关提问答疑;

专场人数:2458提问数量:55627

为什么不能用interest expense/debt=9.38%来计算cost of debt?

已解决

请问下statement3 不是说谈的收购都是大于市场价格的么 为什么这句话是对的呀

已回答

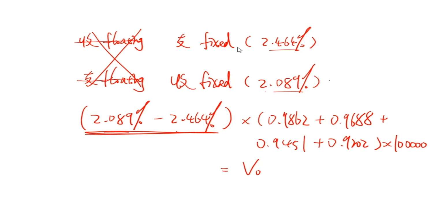
为什么本题中对冲利率之差乘以本金后不直接用单一利率折现到current时刻,其他题中都是直接用1+r折现的,而本题中用的是B1到B4,相当于折现4次,为什么不可以用B4直接折现?

已回答

发放股利的时候,A公司会收到股利收益啊,怎能不考虑进来呢?

已解决

题干说 fair mkt value of RAINER is 2billion,为什么这不是公允价值?

已回答

请问这里的cash generating unit 和report unit是什么意思? 还要有一道题的解析里讲到并表时说的single line item是什么意思?

已回答

截图中的comment1,讲义上也有两句话,前面一句说,在任何单期rollreturn都有重大影响,但是后面一句说历史上来看,短期影响又很温和。这就短期方面来看,两个观点是相反的呀,这让人以哪个为准呢??非常困惑。

已解决

第三题 statement2 发放股利和股票回购到底影不影响 FCFF和 FCFE 呢?答案看不懂

查看试题 已回答

Q1 P=2.188/3.188 分母这个3.188怎么得到的?

查看试题 已解决

少算四年再除2是什么逻辑啊 可以细说一下吗

已回答

精品推荐

400-700-9596
(每日9:00-21:00免长途费 )

©2026金程网校保留所有权利

X

注册金程网校

验证码

同意金程的《用户协议》
直接登录:

已有账号登录