
-
CFA二级
包含CFA二级传统在线课程、通关课程及试题相关提问答疑;
专场人数:2443提问数量:55531
(case1 Q5)问题1:per capita inome 即 人均收入到底指小k还是指小y,还是只是想说明其处在y和k坐标图的更接近原点的位置?问题2:他的意思是人均收入较低的国家有更高的投资收益,那不是应该投厄瓜多尔的股票,为啥却投了巴西?问题3:that are members of...这个定语从句中的that指代的是前面的countries吗 这句话没看懂?(PS:基于贴图中的英文,希望老师能逐次回答 谢谢~)
老师 您好:在transaction with associates阶段,我看到讲义P25页上说,upstream的profit记录在联营公司I/S中,而down stream中,profit记录在investor的I/S中。但看到例题example2(P26-27页)上,realized profit都是记录在investor的I/S中的。这儿怎么理解?
已回答讲义235页的内容,原版书课后题401页第4题第5题第6题。均有涉及,该知识点讲的不够深刻,内在原理和目标没说清楚,只顾在那儿说怎么算……听的晕不拉叽的……导致后边这三道题云里雾里搞不清楚,很崩溃。
已回答精品问答
- Growth due to capital deepening 是αΔK/K还是ΔK/K
- 请老师讲解一下这个题目
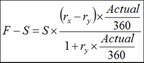
- 老师,第三题答案的意思是:1.因为宽松的货币政策,导致加元利率下跌,导致加元贬值?2.但是,如果利率下跌,也就是分母上的百分比下降,不是会导致价格上升吗?。3.从而短期看是depreciation,但是长期来看,会回归到均值,所以是appreciation?
- 很迷惑到底是long call+ short stock还是long stock+short call构建无风险资产
- 这道题可不可以用算出来的fpa除以0.9算出的价格和125比较,得出的差额是套利的利润?
- 不太明白为什么AI0 20 加上后 后面AIT 是减50, 为什么要重复计算0~T=2 这段的coupon?
- 第4题 讲义没有讲到,能在详细讲一下吗
- 这题为什么是选C?






