天堂之歌

听歌而来,送我踏青云〜

CFA二级

CFA二级

包含CFA二级传统在线课程、通关课程及试题相关提问答疑;

专场人数:2443提问数量:55528

共同基金衍生品呢为什么不承担风险?谢谢

已回答

Reading27的第22题,答案是印刷错误了吗?

已回答

A/B=7不是应该等同于是A÷B=7,等同于A=7B。n为什么老师说是B=7A呢

已回答

老师,R10视频中的标题和PPT上的标题不一样,请核实

已回答

老师 这里 trailing PE 的 P0 和 V0我有点分不清了,讲义86页写的是用 P0, 可是例题老师说不可以用 P0, 要用V0, 否则就是 market PE了。所以究竟该用哪一个?老师说的要用V0 是针对这一题,还是所有 trailing PE 呢?

已回答

老师 这里 trailing PE 的 P0 和 V0我有点分不清了,讲义86页写的是用 P0, 可是例题老师说不可以用 P0, 要用V0, 否则就是 market PE了。所以究竟该用哪一个?老师说的要用V0 是针对这一题,还是所有 trailing PE 呢?

已回答

Reading 27的第三题中的第一小题中年复合增长率的计算。 2005到2007年是算做2年的?2005年的一整年是不算的吗?

已回答

老师,共线性这里的第一二点没听懂。一个是说不影响系数的一致性,一个是说系数不准确不可靠。两点不矛盾吗?

已回答

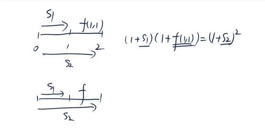
为什么(1+S1)*(1+f1)不是等于1+S2,二是等于1+S2的平方呢?

已回答

Disclose prior entity没听他明白,怎么理解?

已回答

精品推荐

400-700-9596
(每日9:00-21:00免长途费 )

©2025金程网校保留所有权利

X

注册金程网校

验证码

同意金程的《用户协议》
直接登录:

已有账号登录