天堂之歌

听歌而来,送我踏青云〜

CFA二级

CFA二级

包含CFA二级传统在线课程、通关课程及试题相关提问答疑;

专场人数:2444提问数量:55533

为什么repurchase shares 的 EPS是uncertain

已回答

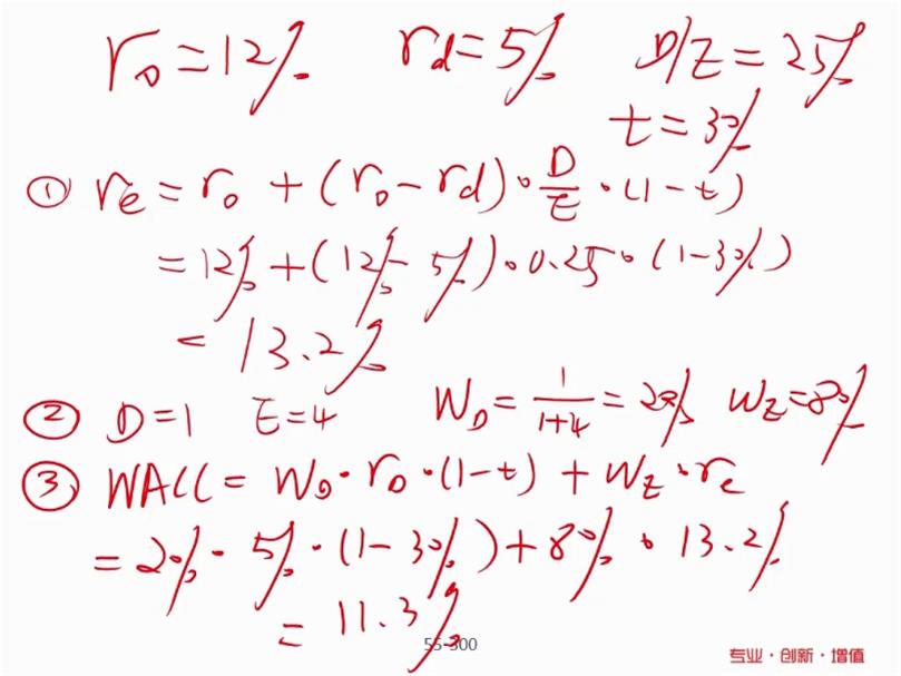
老师,这题不是已经给出了re,为什么还要倒推计算re?应该怎样理解?

已回答

用铅笔画的这个公式 是在IFRS下 CFO 和FCFF公式么?

已回答

1. 第二张图 book value carrying value historical cost 有什么区别 2. gain loss (5)在第一张图如何算出来的?

已回答

1. 第一张图 book value carrying value historical cost 有什么区别 2. gain los

已回答

题目中abc三个选项都分别如何理解,c选项为何解读为是标准差?

已回答

题目中b选项没有提到5%为什么是对的?

已回答

case10中第二题用FFM计算,Rf用的短期的我看老师说没有特别备注应该用长期的,但是我看教材上FFM式子是用的Rf short-term,到底默认用长期还是短期Rf。

已回答

这道题如何理解?

已回答

One interpretation of an upward sloping yield curve is that the returns to short-dated bonds are: A uncorrelated with bad times. B more positively correlated with bad times than are returns to long-dated bonds. C more negatively correlated with bad times than are returns to long-dated bonds.

已解决

精品推荐

400-700-9596
(每日9:00-21:00免长途费 )

©2026金程网校保留所有权利

X

注册金程网校

验证码

同意金程的《用户协议》
直接登录:

已有账号登录