天堂之歌

听歌而来,送我踏青云〜

CFA二级

CFA二级

包含CFA二级传统在线课程、通关课程及试题相关提问答疑;

专场人数:2444提问数量:55544

固收经典题的Rowan Madison case的第三题不明白,为什么均衡模型比无套利模型使用更少的参数,为什么无套利模型允许time-varying参数

已回答

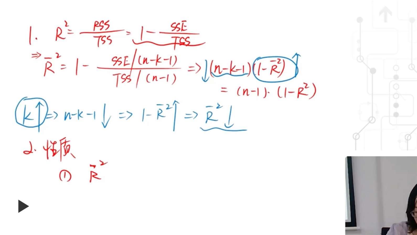
请问是如何推导出adjustedR^2=(n-k-1)*(1-adjustedR^2)?

已回答

请问 1.回购为什么ownership value上升,但又说溢价回购会降低value of the remaining shareholder's shares? 2.现金红利对shareholder wealth无影响,但又说会降低ownership value? 谢谢。

已回答

如果在与工作无关的事情中,比如去游行发生暴力冲突了算不算misconduct呢?

已回答

视频不是从讲义第一页开始

已回答

老师您好,这一页有两个问题请教:1.P/E为啥越低越好?2.diluted EPS是什么意思,与EPS有什么区别?谢谢老师!

已回答

两个问题:1. Expected loss 不是应该用exposure 来计算吗?为什么这题用CF来算,t1时候的bond price 不加上去吗? 2. Pod不是应该等于(1-pod1)*pod 2吗,为什么它把pod1+pod2

已回答

公式中是谁比谁呢?europercanadadollar=0.7

已回答

文中哪一句话提起了两家子公司用的是current method ,我没找到

查看试题 已回答

请问根据图中折算留存收益的汇率,那么其中dividend是当做负债科目用currentrate这算吗

已回答

精品推荐

400-700-9596
(每日9:00-21:00免长途费 )

©2026金程网校保留所有权利

X

注册金程网校

验证码

同意金程的《用户协议》
直接登录:

已有账号登录