
-
CFA二级
包含CFA二级传统在线课程、通关课程及试题相关提问答疑;
专场人数:2461提问数量:55633
在美国准则下讲到 PSC 时,假设 在B/s中的 PSC 为10,。在I/S中的 amortised PSC 为1, unamortised 的PSC 为9,。这样的数值在B/S中,就不平了,为什么
老师你好。请问这道题c选项 Exposure = T.A - T.L >0 偏向Asset. 视频中老师说因为本币升值,Asset也会升值,所以应该会为gain。那么本币升值的时候,负债不会也升值的吗?为什么只有asset会升值而判断为gain? 谢谢老师。
针对Q1,原文说“Nolte would like to fully hedge her exposure to price fluctuations in Pioneer common stock over the next 90 days.”。这个是90天,A选项是1个月,不需要匹配时间长度吗?
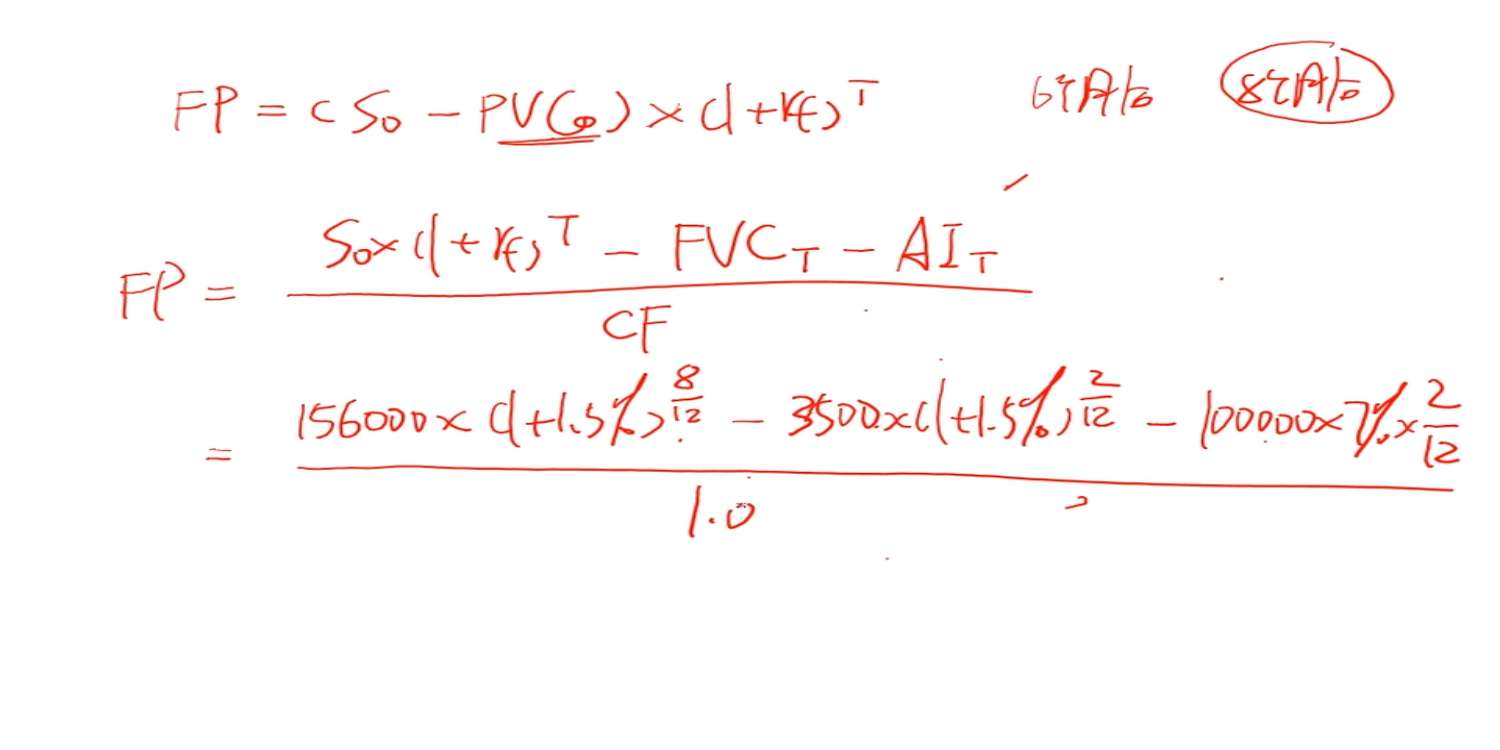
已回答FP标准在每一种实际报价时金额都会不同吗?所以针对不同的可交割债券,标准券的报价不同吗?但是标准券不是一致,转换因子不同,所以FP不同吗?一样的标准券作为衡量标准,为什么标准券报价又不一致,标准券报价和标准券实际价值不是一个概念吗?
精品问答
- Growth due to capital deepening 是αΔK/K还是ΔK/K
- 这题为什么是选C?
- 请老师讲解一下这个题目
- 老师,第二题可以在解释一下原理吗?
- 老师,第三题答案的意思是:1.因为宽松的货币政策,导致加元利率下跌,导致加元贬值?2.但是,如果利率下跌,也就是分母上的百分比下降,不是会导致价格上升吗?。3.从而短期看是depreciation,但是长期来看,会回归到均值,所以是appreciation?
- CDS的long和short是不是反过来的?就是long CDS代表看涨目标公司credit,所以是卖出一份CDS合约?
- 很迷惑到底是long call+ short stock还是long stock+short call构建无风险资产
- 为啥accrued interest over contract life是0?








