
-
CFA二级
包含CFA二级传统在线课程、通关课程及试题相关提问答疑;
专场人数:2443提问数量:55528
数量第4章,LR-test,LR=-2(LLnull-log likelihood) |LL|越小,模型越好。 这里的|LL|是指LR=-2(LLnull-log likelihood)的绝对值吗?谢谢
已解决PPP为什么括号外加t,而不是像其他公式一样在分子和分母上各自计算,什么时候是整体括号t,什么时候是分子分母各自计算,怎么推导出来的PPP?还是说如果超过一年就是括号外t, CIRP一般情况下不计算超过一年,而inflation会大于一年,所以算复利,Rx和Ry算单利?为什么这样?不这样不行吗
精品问答
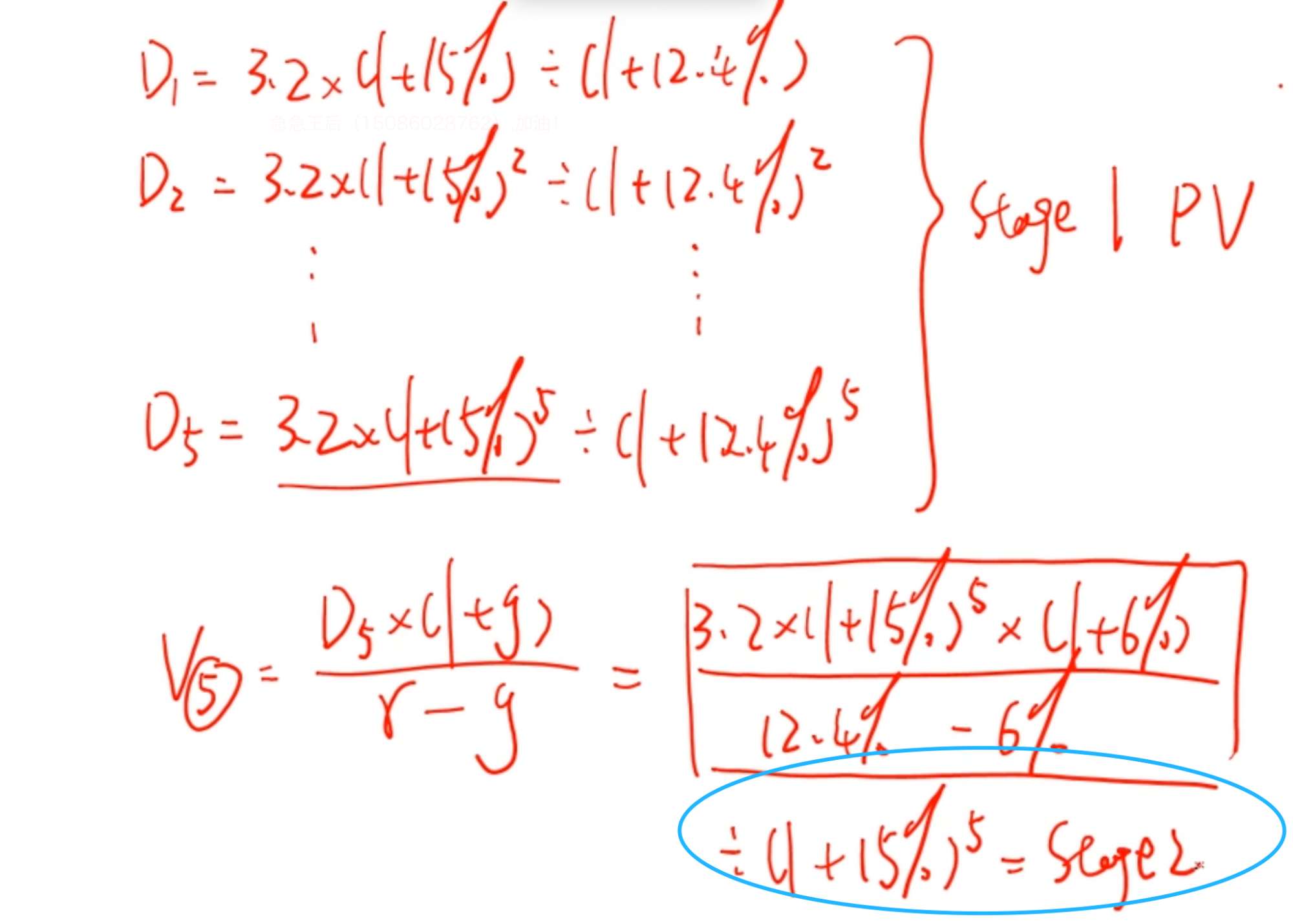
- Growth due to capital deepening 是αΔK/K还是ΔK/K
- 这题为什么是选C?
- 请老师讲解一下这个题目
- 老师,第二题可以在解释一下原理吗?
- 老师,第三题答案的意思是:1.因为宽松的货币政策,导致加元利率下跌,导致加元贬值?2.但是,如果利率下跌,也就是分母上的百分比下降,不是会导致价格上升吗?。3.从而短期看是depreciation,但是长期来看,会回归到均值,所以是appreciation?
- CDS的long和short是不是反过来的?就是long CDS代表看涨目标公司credit,所以是卖出一份CDS合约?
- 很迷惑到底是long call+ short stock还是long stock+short call构建无风险资产
- 为啥accrued interest over contract life是0?










