天堂之歌

听歌而来,送我踏青云〜

CFA一级

CFA一级

包含CFA一级传统在线课程、通关课程及试题相关提问答疑;

专场人数:6086提问数量:109968

讲义最后还有个Reading27,是哪个科目的?需要学习吗?

已回答

老师,请问GDI、net domestic income、NI(national income)、personal income、HDI这5个收入指标分别如何翻译?它们的联系是什么?

已回答

请问这个模型与完全竞争市场有什么区别,不都是定好了价,其余厂商都是被迫的价格接受者?

已回答

1。B选项也不是以萧条为背景啊,虽然c问题更大 2。能不能讲一下转移支付作为自动稳定器的内容,讲义里没找到详细的

已回答

deflation trap是什么

已回答

如果从Mac D的定义出发,能否推导出以下结论?持有期=Mac D时,价格风险=再投资风险。怎么推导?视频里老师没具体讲。

已回答

老师,recessionary gap和inflationary gap指的是什么呀?能否解释一下

已回答

老师,第四个case没有明白讲的什么意思

已回答

我怎么认为这里的△y不一定是1%。难道不可以是2%,3%吗?

已回答

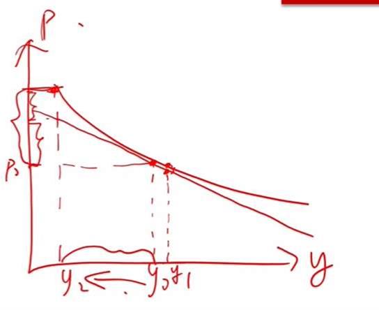
这张图是老师解释modified duration 不够准确的时候用的。里面有一个地方不太理解。在modified duration的计算中,△P的取值难道不应该是在曲线上取值吗?为什么听老师说的意思△P是在直线上取值,所以不够准确?

已回答

精品推荐

400-700-9596
(每日9:00-21:00免长途费 )

©2026金程网校保留所有权利

X

注册金程网校

验证码

同意金程的《用户协议》
直接登录:

已有账号登录