
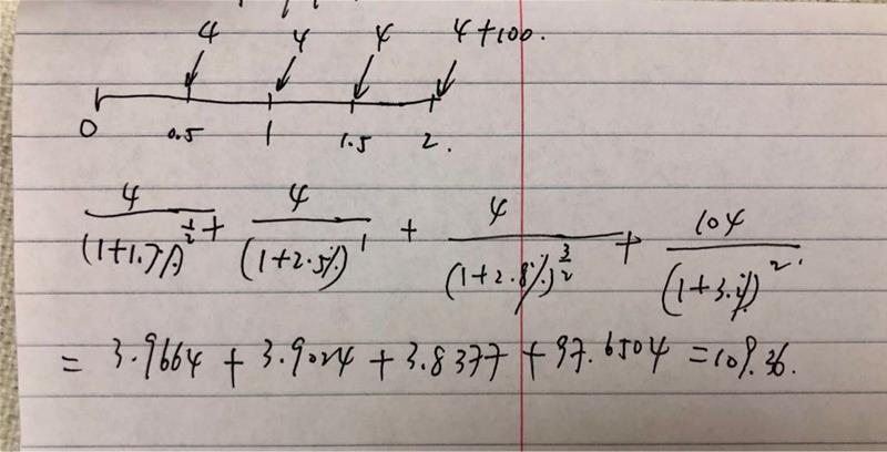
-
CFA一级
包含CFA一级传统在线课程、通关课程及试题相关提问答疑;
专场人数:6070提问数量:109403
老师你好,B是管理人显著增加产品市场份额所以不会发低质量报告?A的话是因为如果管理人compensation跟股价挂钩所以发低质量报告可能会导致股价上去他自己能拿到高额的compensation?
精品问答
- 为什么半年付息 算ytm是乘以2 而年化的麦考利久期是除以2
- m上升 EAR为什么上升 以及为什么又不变
- 前面在讲Aggregate demand curve的时候说,价格上涨使消费下降,而这里又说价格下降消费变少,为什么存在矛盾?
- 对于老师讲的这部分,1. 我理解FRA的Payoff始终等于利率期货的Payoff部分进行折现(除以1个大于1的数),也就是说,FRA的Payoff的变动幅度 应该 始终小于利率期货的变动幅度。2. 至于是涨多跌少,还是涨少跌多,其实MRR在分母上,可以根据1/x的曲线特点来理解,无非就是MRR上升时1/(1+MRR)的变动幅度 小于 MRR下降时1/(1+MRR)的变动幅度,所以如果MRR上升时,Payoff是上升的,那么就是涨少跌多,如果MRR上升时,Payoff是下降的,那就是涨多跌少。以上2点,我理解的对吗?
- 不懂这里为什么新固定利息与老固定利息的差值折现到1时刻就是1时刻的value,为什么只考虑下半边支出的部分,不考虑付息收到的部分
- 如果IC和CAL线的切点在后半段呢,就是比和有效前沿的切点更高呢,不是后面无风险资产权重为0吗,为什么说一定有无风险资产呢
- 为什么不是C选项呢?credit risk是由于借款人违约未能偿还而使债权人遭受损失的风险;solvency risk是由于自己财务状况不佳而无法偿还到期债务的风险。二者紧密相连
- 那么股票的公允价值是不是交易价格? 既不和市场价值一样,也不和账面价值一样?









