
-
CFA一级
包含CFA一级传统在线课程、通关课程及试题相关提问答疑;
专场人数:6068提问数量:109337
这一题做了好几次我都错了 我发现我的思维模式不太一样。 我记不住这个‘正确’答案。 以现实世界来说 像hertz这个最近大半年一直很火的话题, 我觉得对待快要破产的公司 最正确的方法 就是避开它的一切债券 优先股 和普通股。 这是唯一符合逻辑的做法。 而不是浪费时间去计算什么概率 什么因素。现实世界 根本不能去精确计算任何东西。 科学界其实也不能。 光子到底是波还是粒子? 这个薛定谔 爱因斯坦都没搞清。 我觉得看问题的方式要站在这样一个基础上:就是其实我们一无所知。
查看试题 已回答精品问答
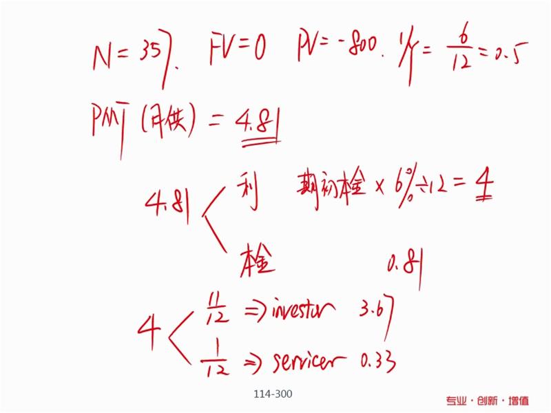
- 为什么半年付息 算ytm是乘以2 而年化的麦考利久期是除以2
- m上升 EAR为什么上升 以及为什么又不变
- 前面在讲Aggregate demand curve的时候说,价格上涨使消费下降,而这里又说价格下降消费变少,为什么存在矛盾?
- 对于老师讲的这部分,1. 我理解FRA的Payoff始终等于利率期货的Payoff部分进行折现(除以1个大于1的数),也就是说,FRA的Payoff的变动幅度 应该 始终小于利率期货的变动幅度。2. 至于是涨多跌少,还是涨少跌多,其实MRR在分母上,可以根据1/x的曲线特点来理解,无非就是MRR上升时1/(1+MRR)的变动幅度 小于 MRR下降时1/(1+MRR)的变动幅度,所以如果MRR上升时,Payoff是上升的,那么就是涨少跌多,如果MRR上升时,Payoff是下降的,那就是涨多跌少。以上2点,我理解的对吗?
- 不懂这里为什么新固定利息与老固定利息的差值折现到1时刻就是1时刻的value,为什么只考虑下半边支出的部分,不考虑付息收到的部分
- 如果IC和CAL线的切点在后半段呢,就是比和有效前沿的切点更高呢,不是后面无风险资产权重为0吗,为什么说一定有无风险资产呢
- 为什么长期垄断竞争中 D和ATC相切
- 为什么TC 的切点对应是AVC的最低点?





