
-
CFA一级
包含CFA一级传统在线课程、通关课程及试题相关提问答疑;
专场人数:6085提问数量:109940
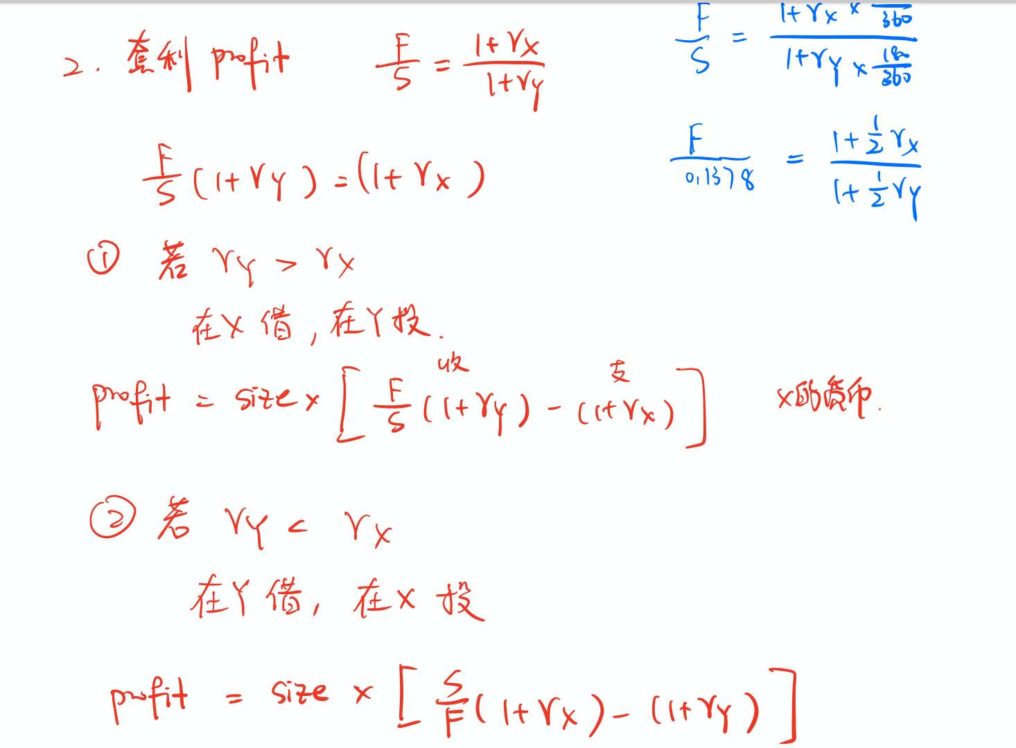
答案里的表格没懂,老师课上讲:判断在哪里借钱投在哪里要看两国的利率比较。本题中r AUD>r BRL,题目中给的S和F是BRL/AUD,相当于是rY>rX的情况,那难道不应该是在AUD借,在BRL投么?为什么我听答案解析的意思是卖AUD呢?这道题不应该是用2⃣️的做法么?profit=size*【S/F(1+rBRL)-(1+rAUD)】,为什么不这样做?解析里第一行的公式可以懂,后面三个step看不懂。
精品问答
- Effective duration和Effective convexiy的公式为什么不用modified duration和convexity的原本公式,而是和他们的近似的久期和突性的公式一致?
- 为什么半年付息 算ytm是乘以2 而年化的麦考利久期是除以2
- 为什么长期垄断竞争中 D和ATC相切
- m上升 EAR为什么上升 以及为什么又不变
- 为什么TC 的切点对应是AVC的最低点?
- 前面在讲Aggregate demand curve的时候说,价格上涨使消费下降,而这里又说价格下降消费变少,为什么存在矛盾?
- 为什么可以把TR TC同时体现在纵轴?
- 对于老师讲的这部分,1. 我理解FRA的Payoff始终等于利率期货的Payoff部分进行折现(除以1个大于1的数),也就是说,FRA的Payoff的变动幅度 应该 始终小于利率期货的变动幅度。2. 至于是涨多跌少,还是涨少跌多,其实MRR在分母上,可以根据1/x的曲线特点来理解,无非就是MRR上升时1/(1+MRR)的变动幅度 小于 MRR下降时1/(1+MRR)的变动幅度,所以如果MRR上升时,Payoff是上升的,那么就是涨少跌多,如果MRR上升时,Payoff是下降的,那就是涨多跌少。以上2点,我理解的对吗?



