天堂之歌

听歌而来,送我踏青云〜

CFA一级

CFA一级

包含CFA一级传统在线课程、通关课程及试题相关提问答疑;

专场人数:6084提问数量:109841

这个要考嘛

查看试题 已回答

算债券的账面价值为什么n=2?book value不应该是发行时的pv吗?

查看试题 已回答

请问这一题红色框框 income tax at 法定税率,怎么理解?这个不就是tax payable吗

已回答

老师,我想问一下,企业发债时候的interestexpense是什么费用(我理解的是我融到资金后存在银行的利息收入,所以也是BASE法则里的A),这样理解对不对,另外这个利息费用在哪张报表的哪个科目?

已回答

24题哪里讲的?为什么ATOCF是这个公式,为什么融资=ATOCF+external?感觉没有学过这些都

已回答

我们是默认stock的price会保留两位小数,所以才认为它是可数的是吗

查看试题 已回答

为什么都是减值到NRV?us gaap下,replacement cost位于区间内,那就是减值到RC啊。

查看试题 已回答

老师,可否解释一下这道题?

查看试题 已回答

如果期初投入资金与未来现金流都double,IRR不变,对吗?

已回答

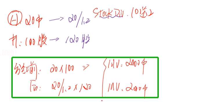
市值是在外发行的总股数*股价吗?

已解决

精品推荐

400-700-9596
(每日9:00-21:00免长途费 )

©2026金程网校保留所有权利

X

注册金程网校

验证码

同意金程的《用户协议》
直接登录:

已有账号登录