天堂之歌

听歌而来,送我踏青云〜

CFA一级

CFA一级

包含CFA一级传统在线课程、通关课程及试题相关提问答疑;

专场人数:6084提问数量:109841

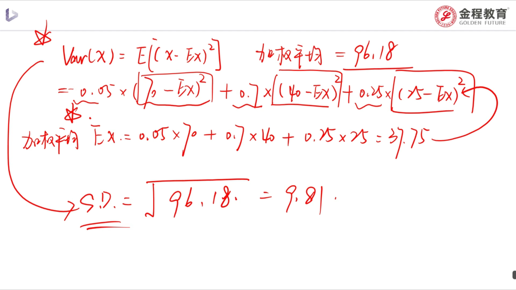
老师,请问这里求Variance 为什么没有➗(n-1)呢?

已回答

为什么Rd不×(1-t)。求Rd时候不是默认有税吗。

查看试题 已回答

请问为什么标题写的是no arbitrage principal,但是老师讲解的时候一直说的是套利利润。

已回答

关于A选项没懂呢。应收租款,怎么还和年初年末有关。年初收钱还是年末收钱,对方租我的东西,不都得给我钱吗。

查看试题 已回答

这道题说了是短期,完全竞争下,短期和长期有什么区别吗。在完全竞争下,P=D=MR=MC=AC=AR。这个公式,是只适用于长期,还是说,长短没有区别呢。

查看试题 已回答

请问这里样本容量大、均值标准差已知,为什么不是均值+-k倍标准差呀

查看试题 已解决

这道题讲解只提到的债权人,感觉不对。因为要conflicts increase,所以就是增加债权人和股东的利益冲突,对一个好,就要对另一个不好。A选项,降低融资杠杆,E增加,债权人角度,这样公司可以而更好的还债,股东角度,E太多,杠杆低,所能获得的收益就低。这样不算冲突吗。

查看试题 已回答

所以c选项的意思,是说cluster不考虑没抽到的组别可能包含其他的多样性-difference?

查看试题 已解决

老师,可不可以这样理解,由于equity投资相对其他资产(债券、指数等),风险相对高,结合资本市场里vc投资经常出现的这些outlyer比如投资了滴滴阿里这种几百上千倍的案例获得极端的收益,或相反的情况,出现极端亏损。所以理解它是肥尾?

查看试题 已解决

可以帮忙解释一下cv的意义吗,谢谢

查看试题 已回答

精品推荐

400-700-9596
(每日9:00-21:00免长途费 )

©2026金程网校保留所有权利

X

注册金程网校

验证码

同意金程的《用户协议》
直接登录:

已有账号登录