天堂之歌

听歌而来,送我踏青云〜

FRM问答

FRM问答

FRM问答包含在线课程、FMR通关课程、FRM试题等所有FRM相关问题,每个问题老师均会在24小时内给出答疑回复哦!

专场人数:0提问数量:0

可否将老师的讲义分享?可否将老师说的excel分享?感谢!

已回答

这道题我的理解是:题干先是说明了operational risk的定义是什么。然后问这个定义受到质疑的原因是这个定义排除了什么?但是我觉得如果选A的话,不就意味着operational risk受到质疑的原因是这个定义排除了市场风险和信用风险。但是市场风险和信用风险不正好应该是被排除在操作风险的定义之外的吗?换句话来说,排除了市场风险和信用风险的操作风险的定义,不是应该不受到质疑吗?

查看试题 已回答

梁老师视频讲butterfly时,板书是k1+k2-2K3(K3大于k2大于K1). 总结时讲:k1+k3-2K2? 正解到底是哪一个?

已回答

这里列式是假设相邻的关键利率是3和7吗?

已回答

这道题不是求the payoff 在6个月后是多少吗?为什么不应该是75000

已回答

为什么看跌期权的时候,long的收益是K-S?

已回答

这题是什么套路,用的是什么知识点,可以详细讲一下吗?

已回答

音质太差了

已回答

图片最后一列stand error不是系数的标准差吗?为什么讲解是把它当作了ESS、RSS计算? 不应该用stand error还有自由度先计算出来ESS,RSS,再计算R square?????

已回答

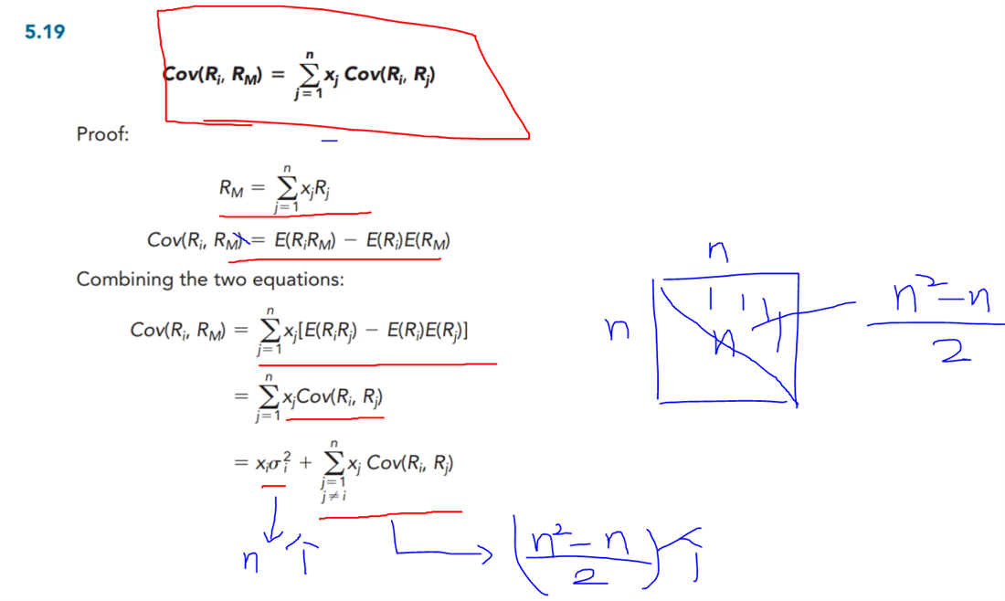
问:资产组合中,相关系数越大,风险越集中、越不分散,是不? ρ=-1,最分散?ρ=1,最不分散?

已回答

精品推荐

400-700-9596
(每日9:00-21:00免长途费 )

©2026金程网校保留所有权利

X

注册金程网校

验证码

同意金程的《用户协议》
直接登录:

已有账号登录