天堂之歌

听歌而来,送我踏青云〜

FRM问答

FRM问答

FRM问答包含在线课程、FMR通关课程、FRM试题等所有FRM相关问题,每个问题老师均会在24小时内给出答疑回复哦!

专场人数:0提问数量:0

老师这种公式没见过,在考试中会考吗

已回答

老师请帮忙看看,我写的公式,对吗?

已解决

老师请帮忙看看,我写的公式,对吗?

已回答

老师,本题的公式在哪里学的,有没有别的解法

查看试题 已回答

老师,可以讲解一下d选项吗

查看试题 已回答

解释一下b

查看试题 已回答

老师,可以再解释一下这道题吗,解析看不懂

查看试题 已回答

请问老师,怎么理解MPD是联合概率,按照MPD(1,2)=(1-d1)d2,而按照联合概率的定义是前期不违约和后期违约同时发生的概率MPD(1,2)=(1-d1)+C2?

已解决

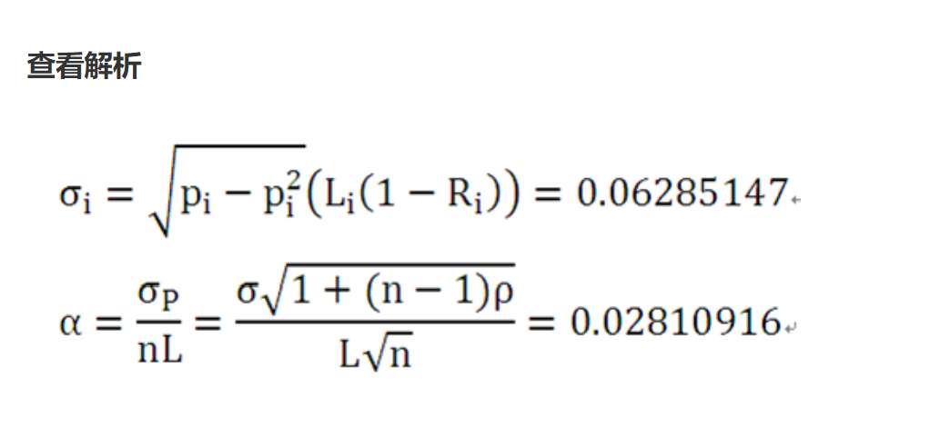
老师,方差的计算那里能写一下正确的计算吗,带入值进去以后求不出来正确的单个方差

查看试题 已回答

老师好,这道题是什么意思啊?答案也没有懂。

已回答

精品推荐

400-700-9596
(每日9:00-21:00免长途费 )

©2026金程网校保留所有权利

X

注册金程网校

验证码

同意金程的《用户协议》
直接登录:

已有账号登录