天堂之歌

听歌而来,送我踏青云〜

FRM问答

FRM问答

FRM问答包含在线课程、FMR通关课程、FRM试题等所有FRM相关问题,每个问题老师均会在24小时内给出答疑回复哦!

专场人数:0提问数量:0

重复的数据会保留一个,然后其他的去掉,还是只要重复就直接去掉

已回答

B选项可以再解释一下吗?

查看试题 已回答

老师,这一页的最后一句话trades always buy stocks immediately after price rise说的是这个trader short了一个call option然后这个call option的价格上涨你需要买更多的stocks来对冲这个风险吗?

已回答

老师,请问两边为什么相等呢?期末得到的为什么不是资产加上P的无风险收益率呢?

已回答

这道题请老师讲解一下

已回答

解析说“顺周期性描述了CCP在波动的市场或危机期间提高保证金要求(初始保证金),这可能会加剧系统性风险”。为什么顺周期性会加剧系统性风险呢?

查看试题 已解决

为什么我这种方法不行,是因为题目是半年付息一次吗?

查看试题 已解决

为什么欧式看涨期权的下限也需要把行权价格折现到零时点计算呢?欧式期权需要到期才能行权,为什么下限和美式期权是一样的?

查看试题 已解决

欧洲美元期货的标的资产就是libor吗?(课上说是3月的远期存款利率?)如果标的不同,future和forward的rate应该没法比较吧?

查看试题 已回答

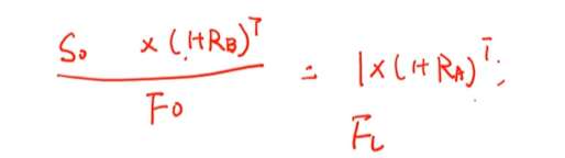
老师请问这个公式是怎么来的,是什么意思呢,为什么左边的B和右边的A就消掉了呢

已回答

精品推荐

400-700-9596
(每日9:00-21:00免长途费 )

©2025金程网校保留所有权利

X

注册金程网校

验证码

同意金程的《用户协议》
直接登录:

已有账号登录